繁体中文
您的位置:
首页
> 宿州市埇桥区人民政府
>
社会救助领域
>
最低生活保障
>
审批信息
信息分类:
内容分类:
审批信息
发文日期:
2026-04-01 15:41:52
生成日期:
2026-04-01 15:41:52
生效时间:
废止时间:
发布机构:
宿州市埇桥区人民政府
文 号:
名 称:
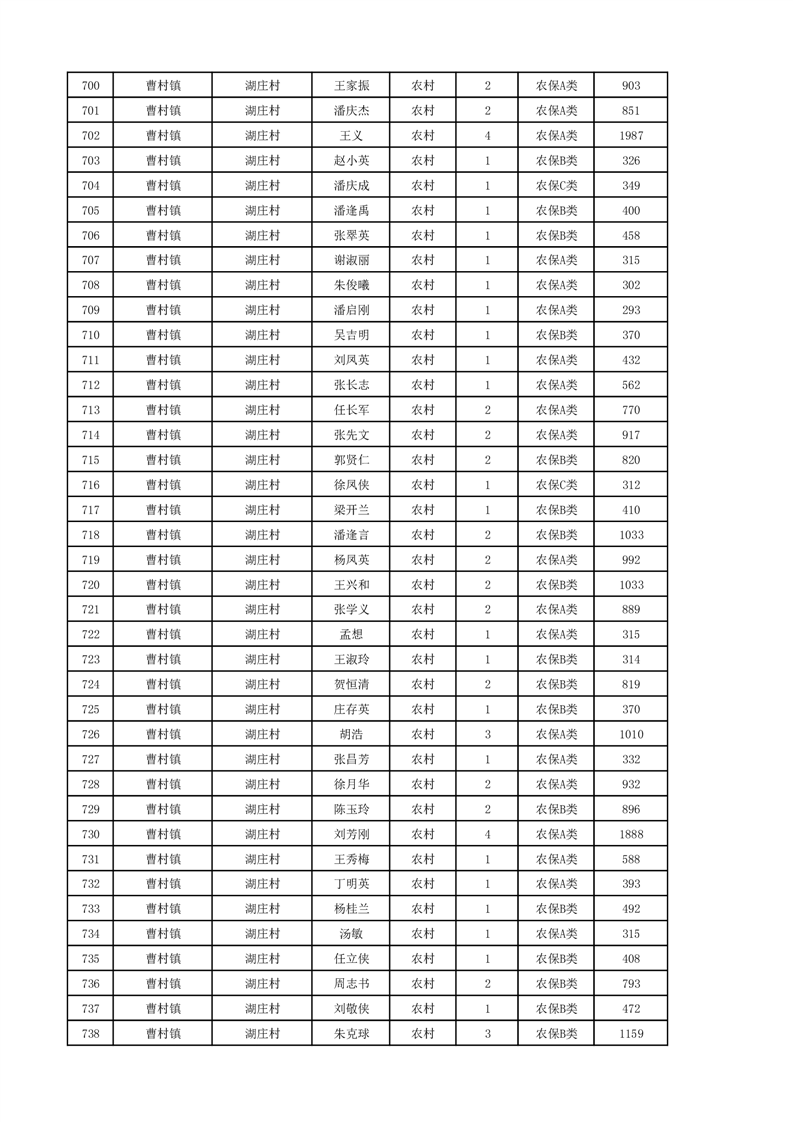
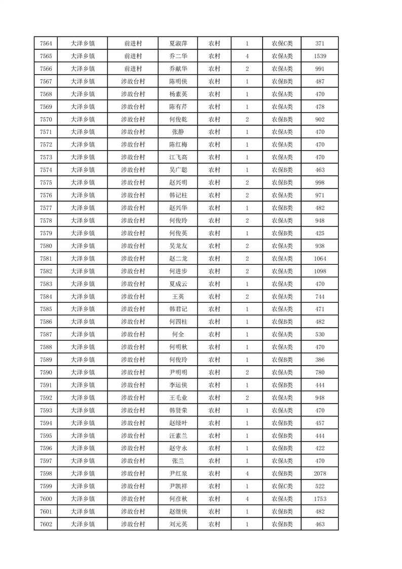
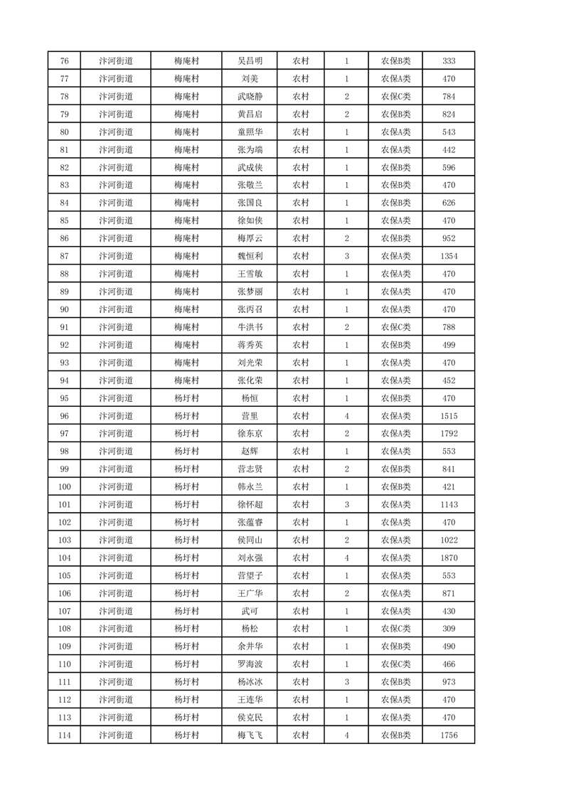
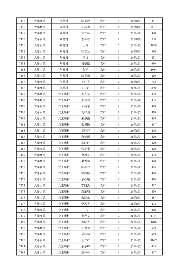
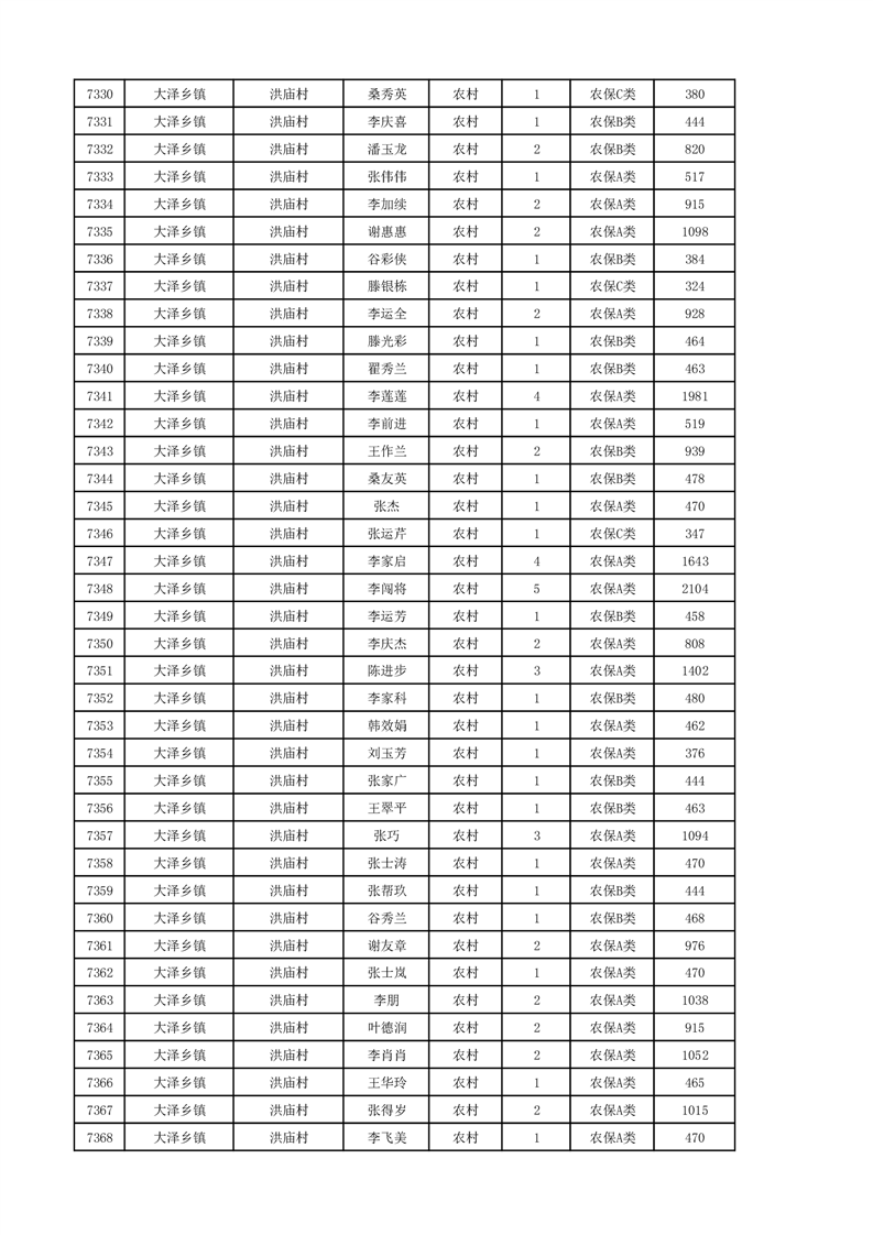
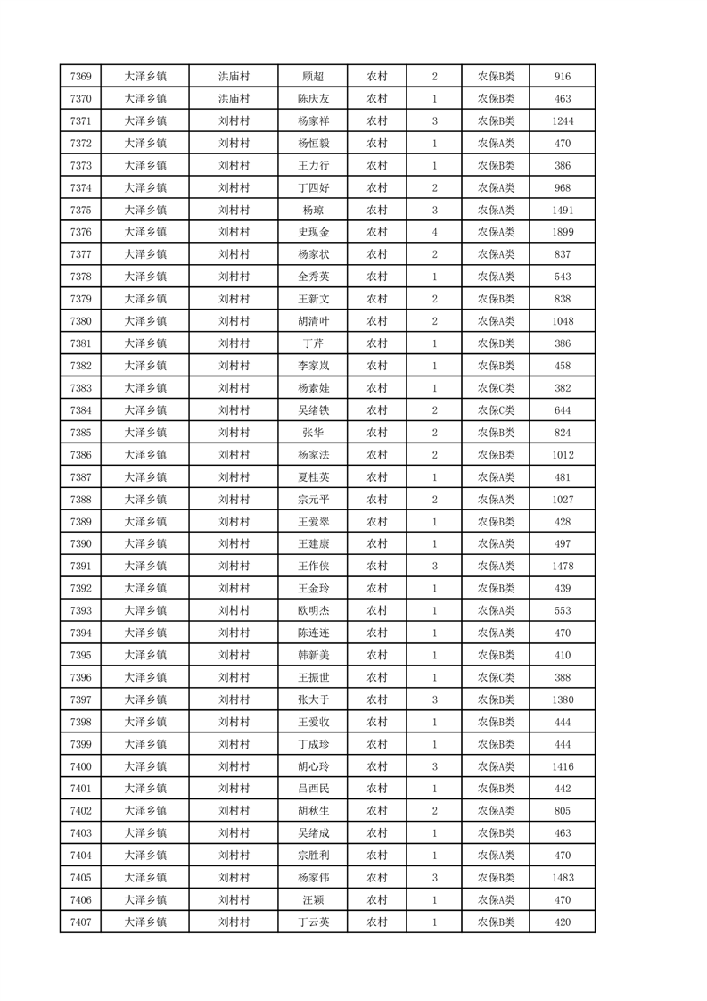
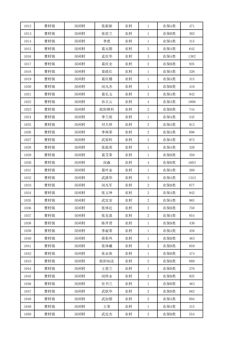
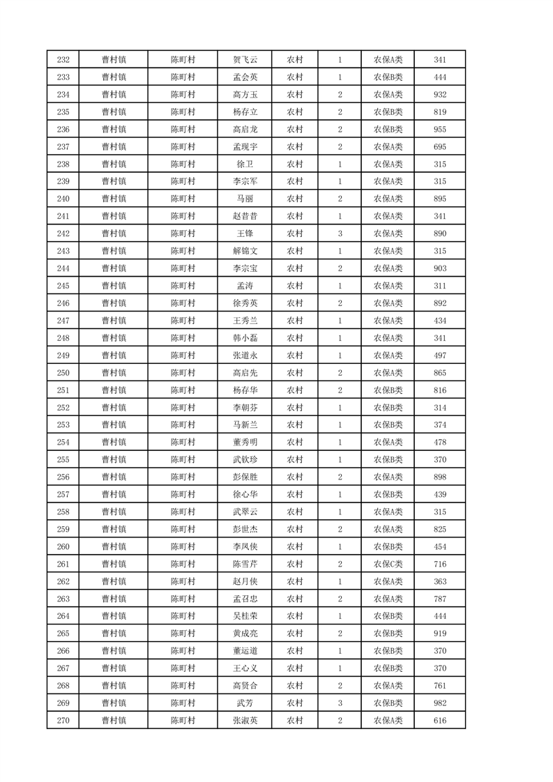
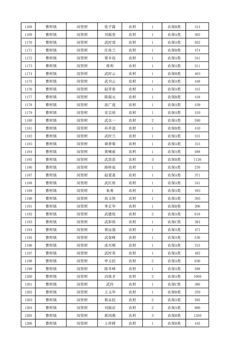
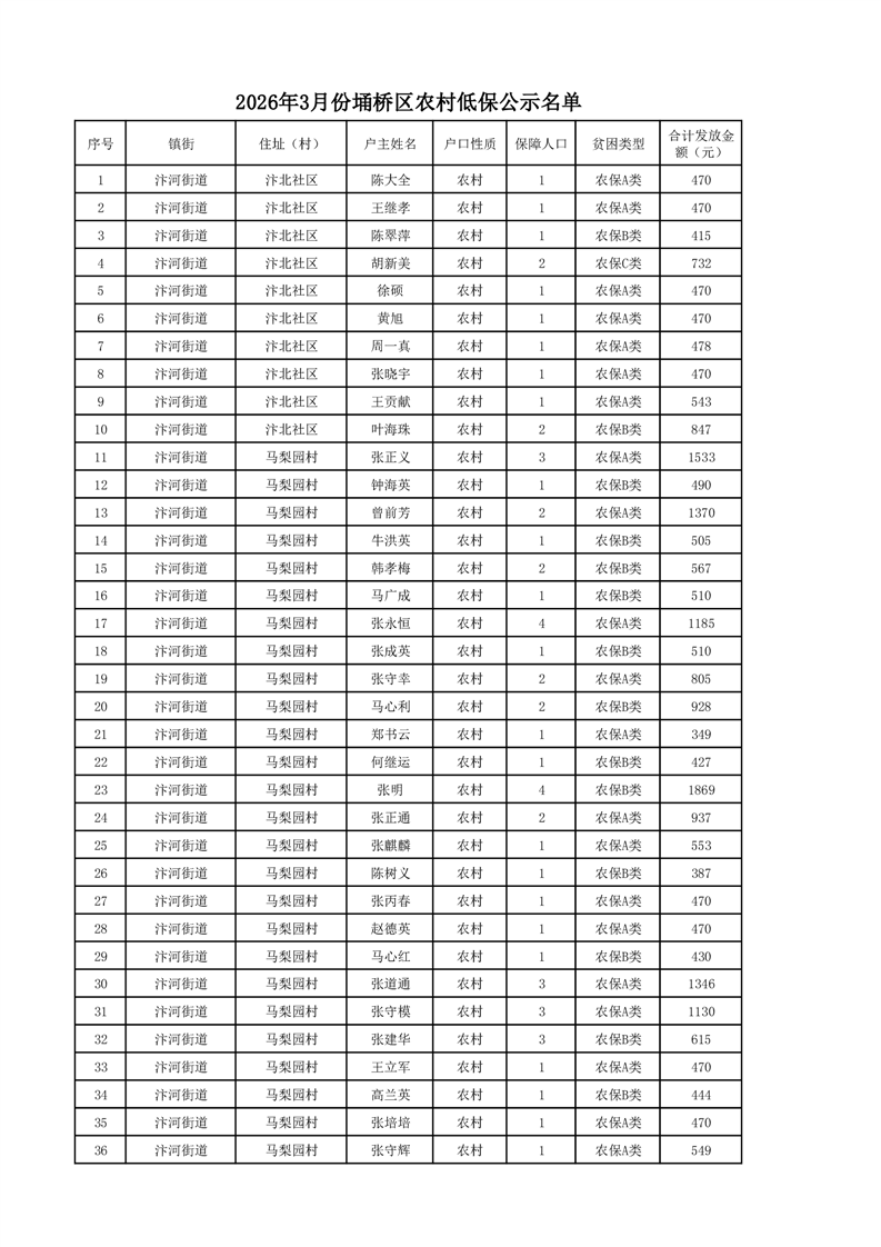
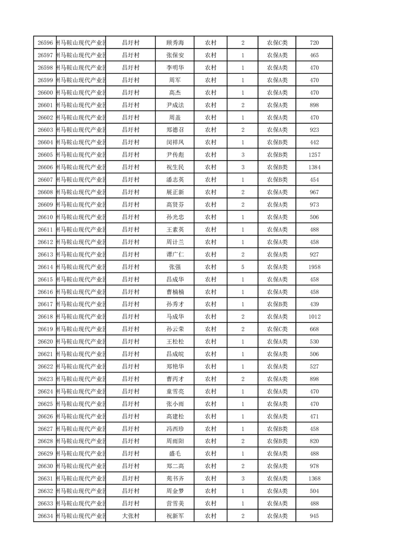
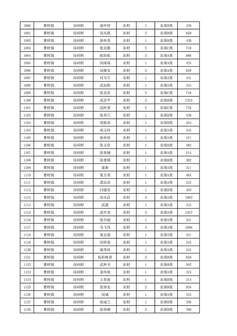
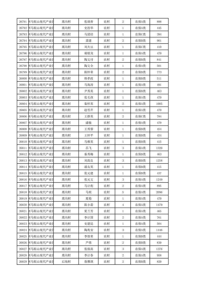
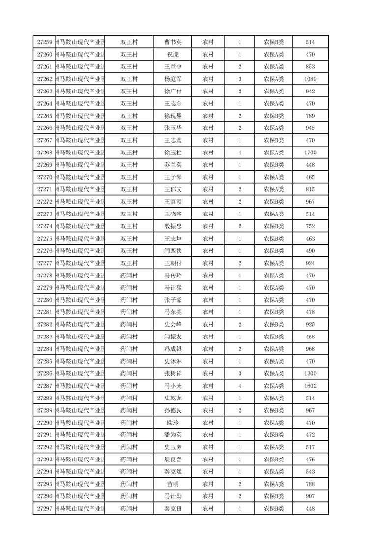
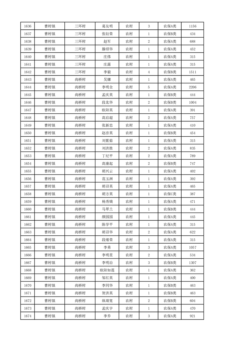
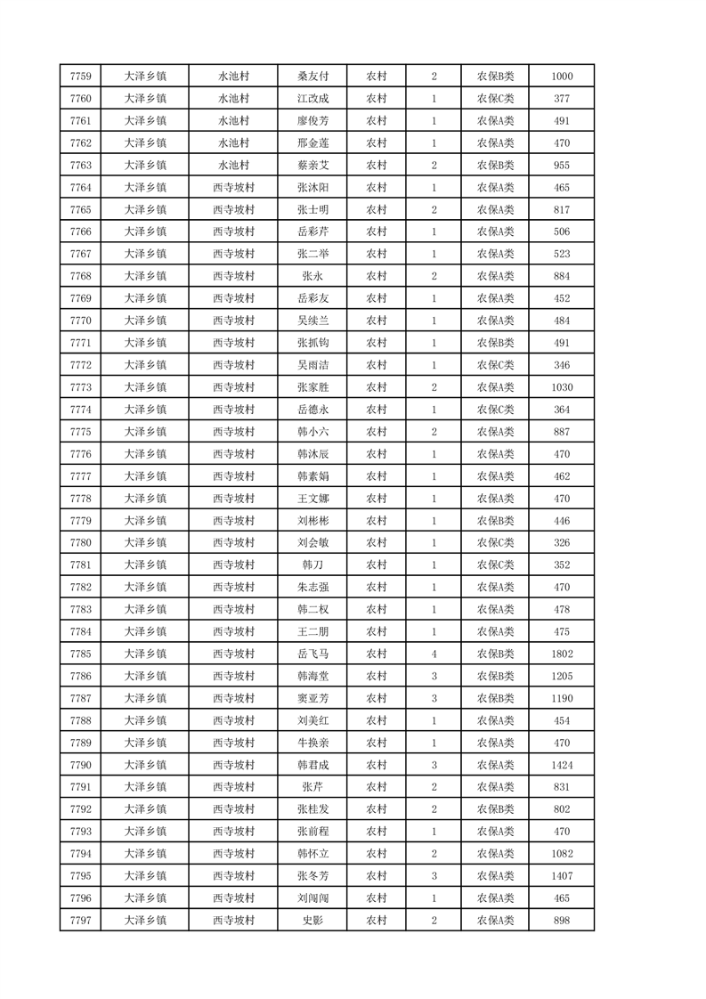
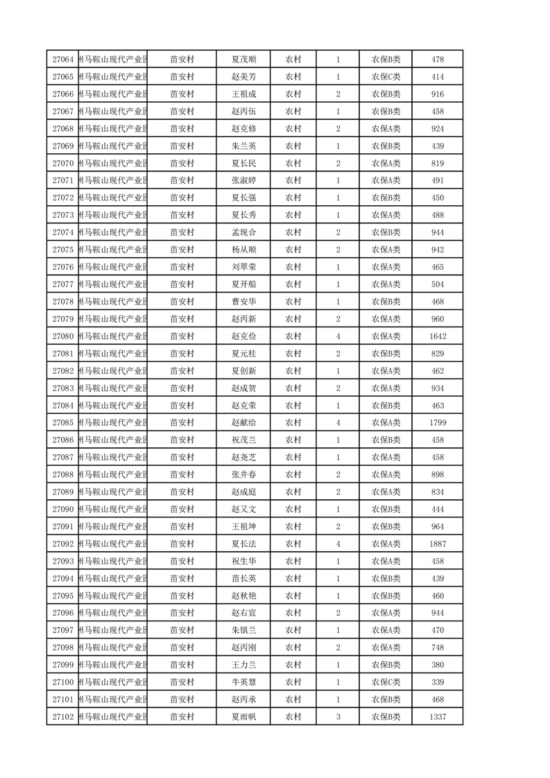
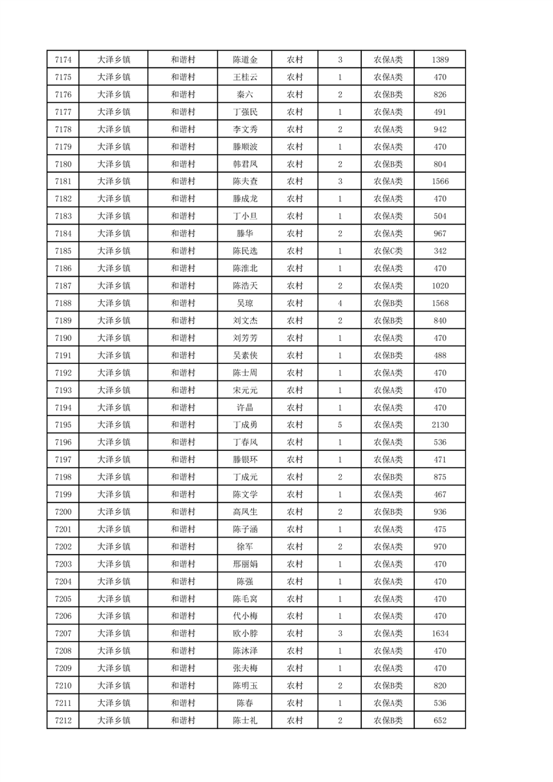
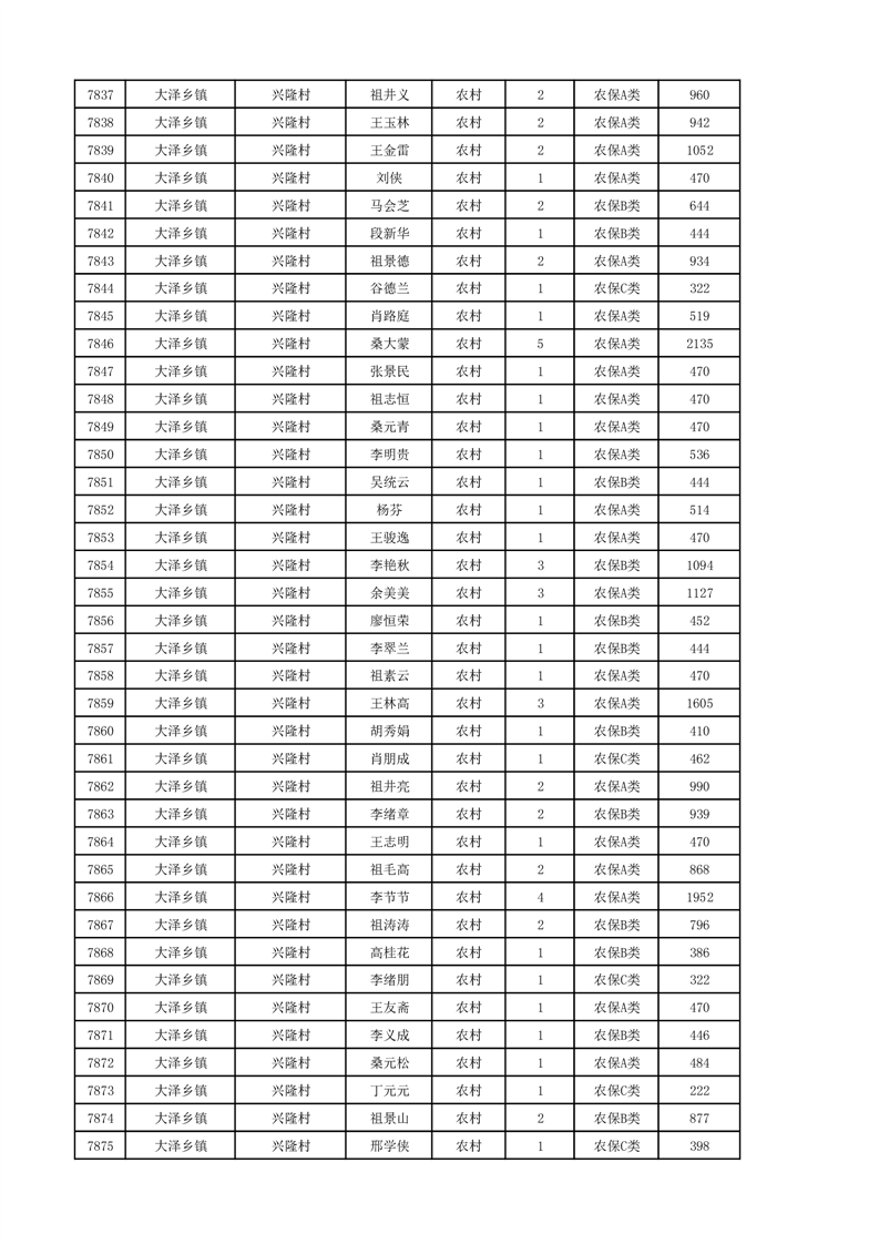
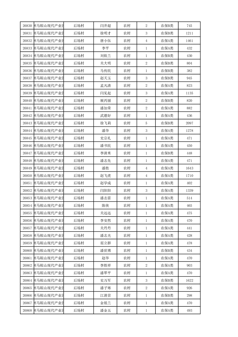
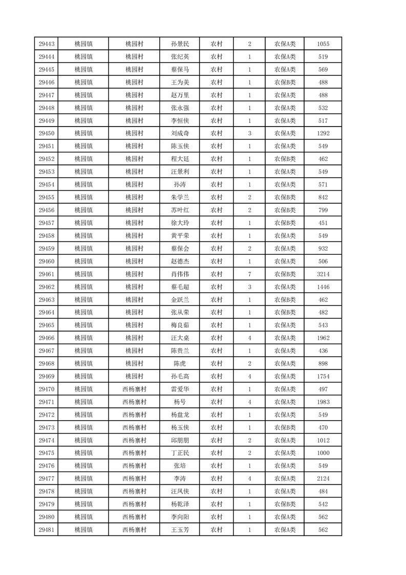
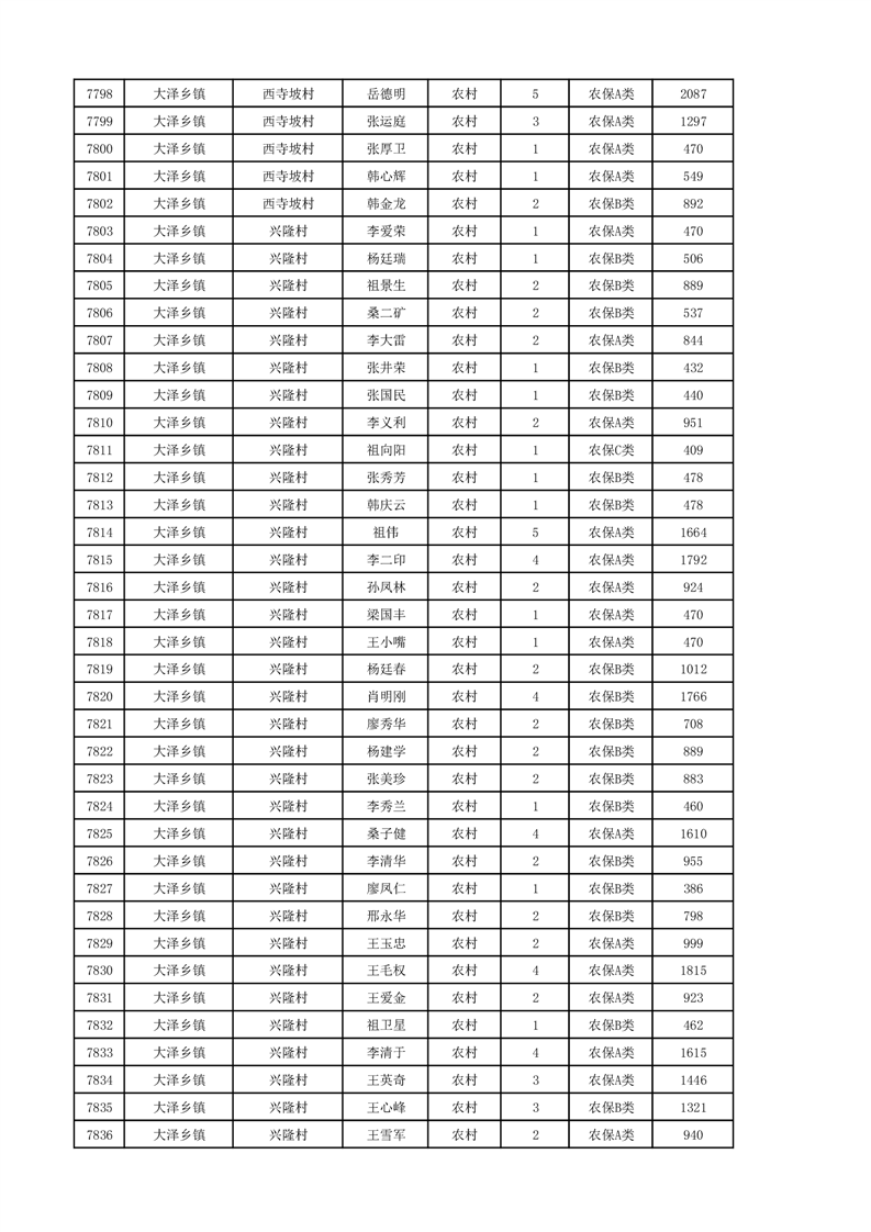
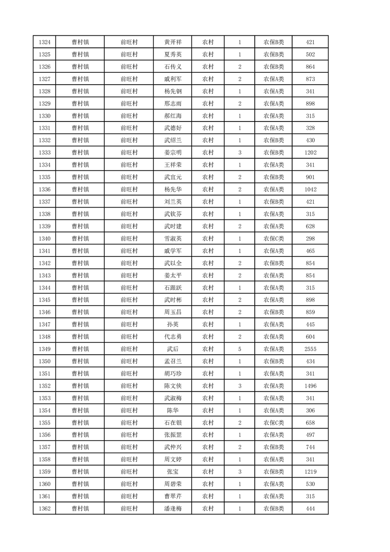
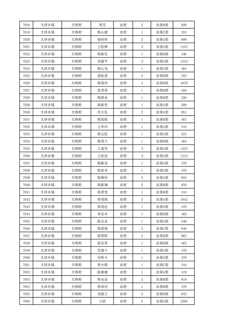
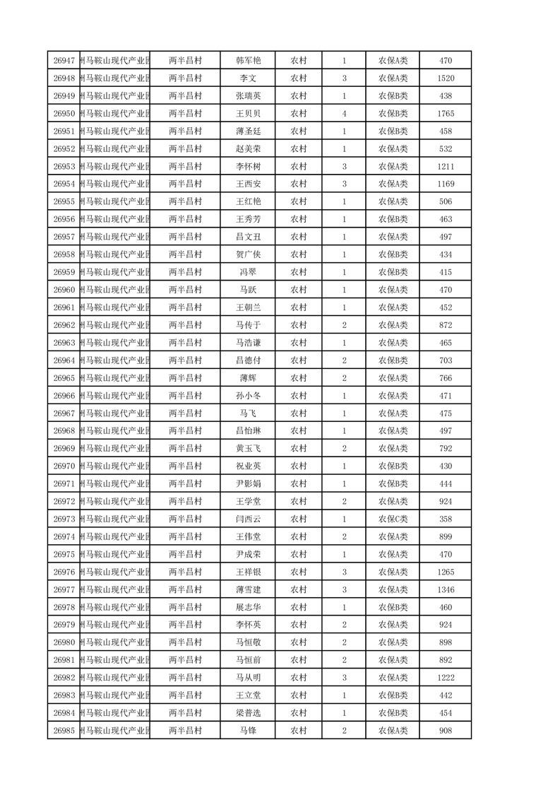
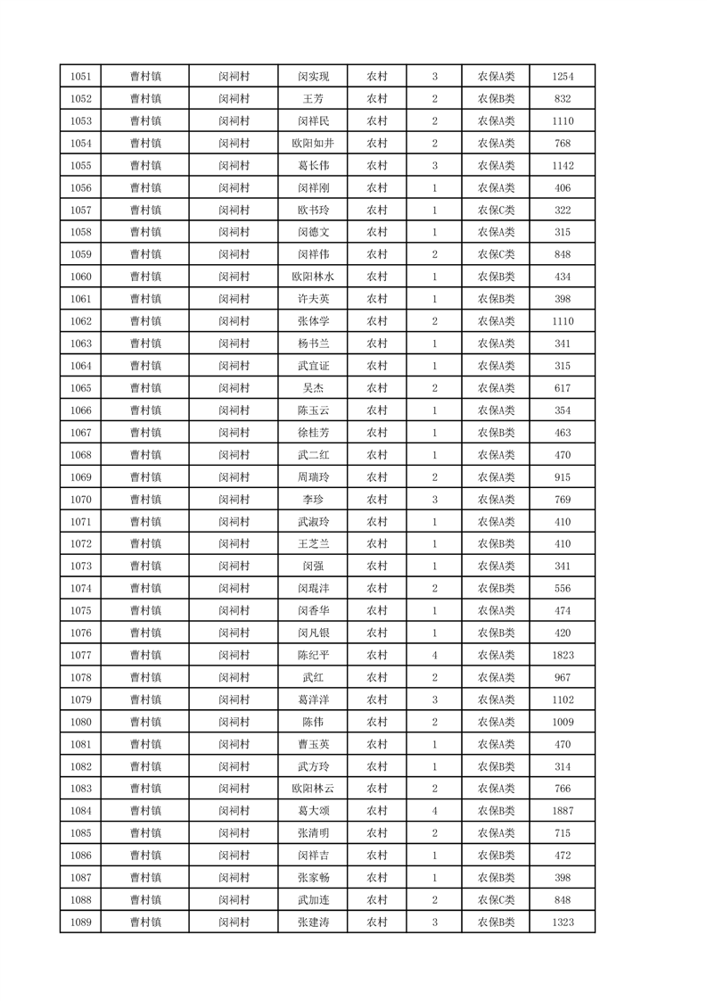
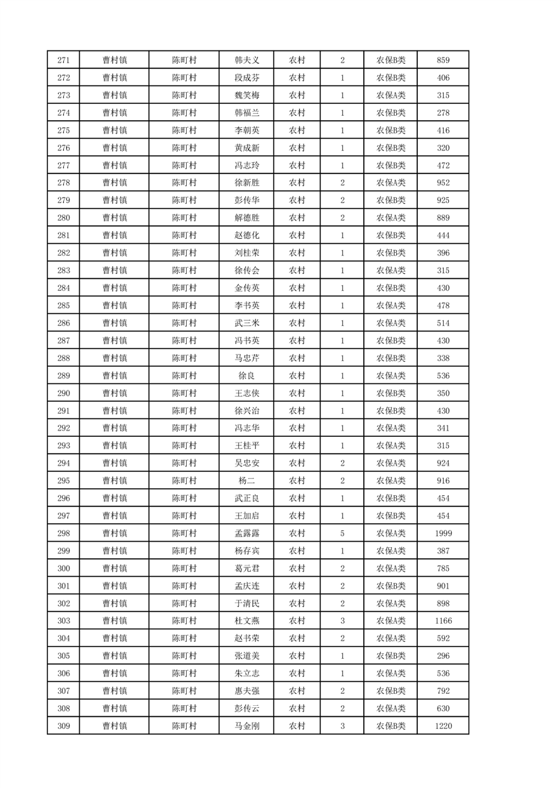
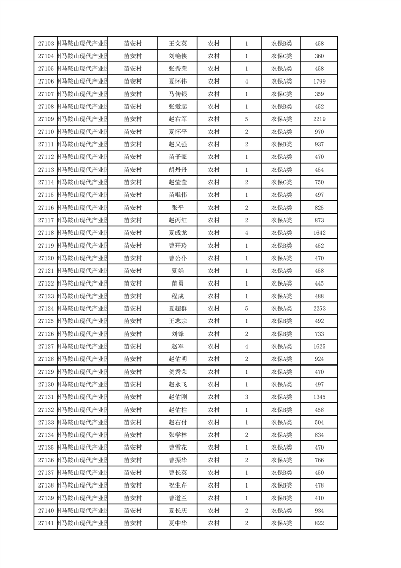
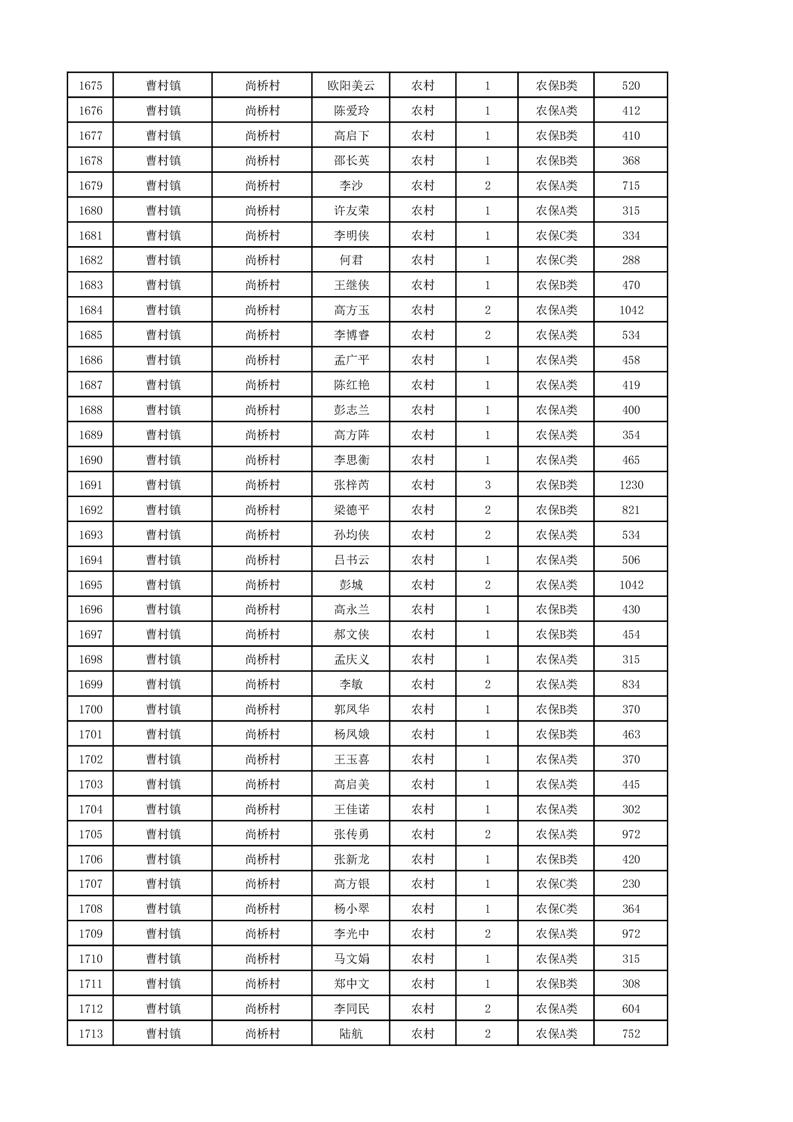
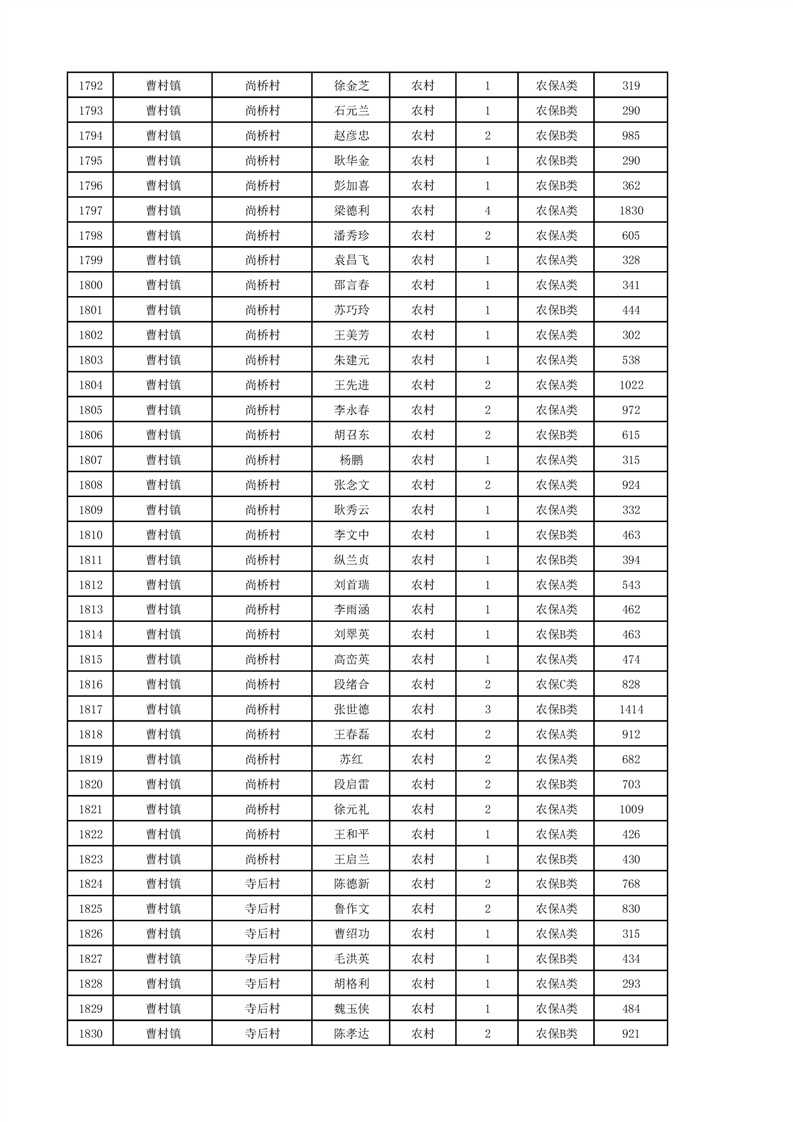
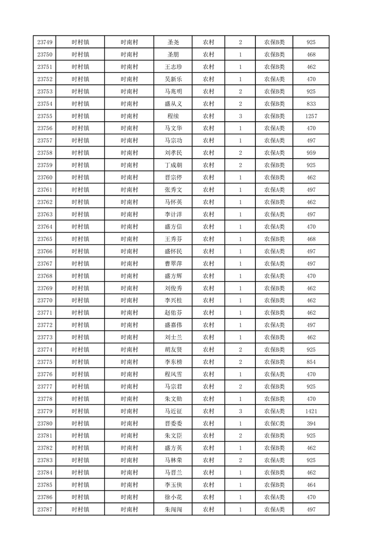
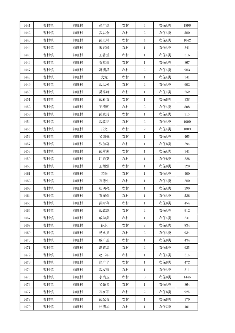
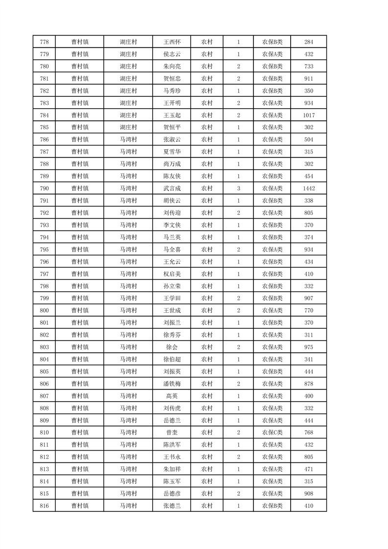
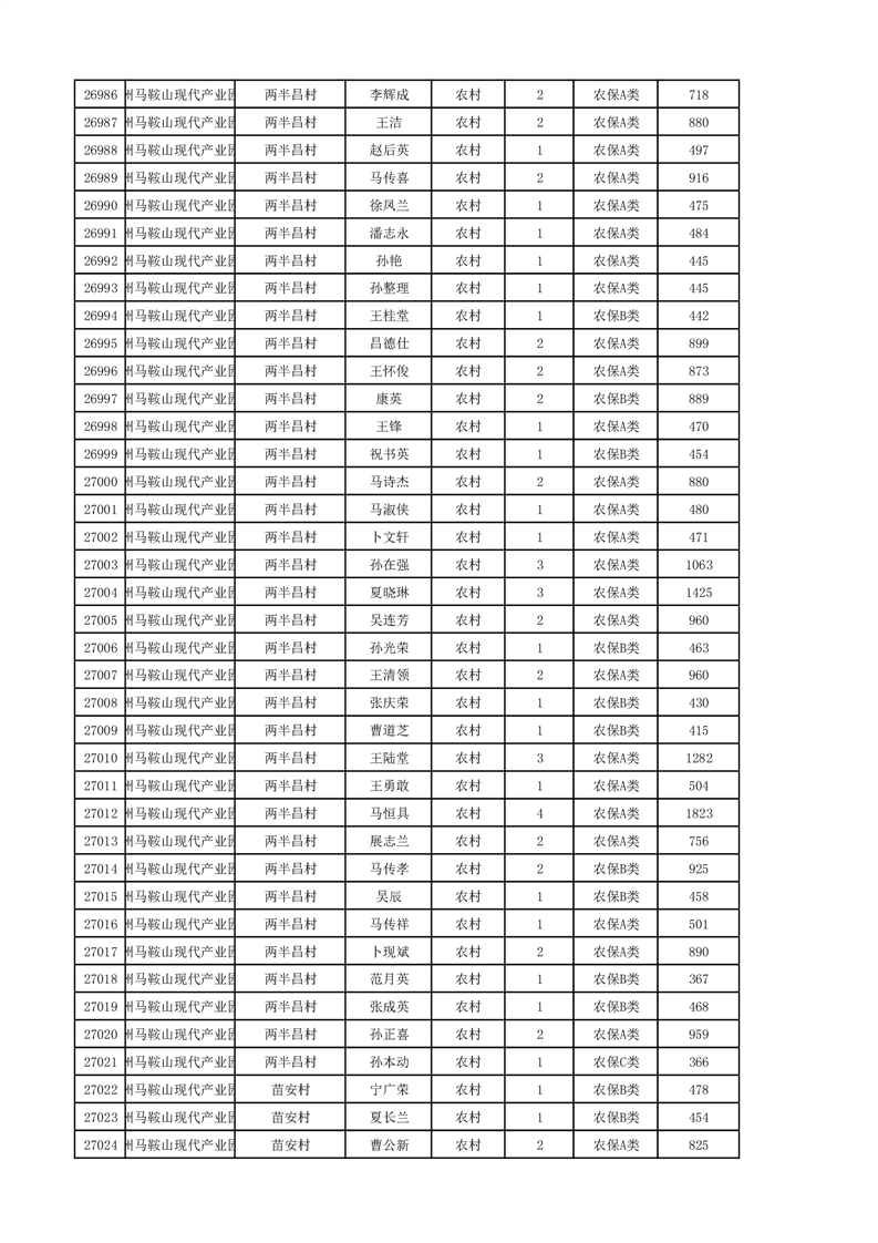
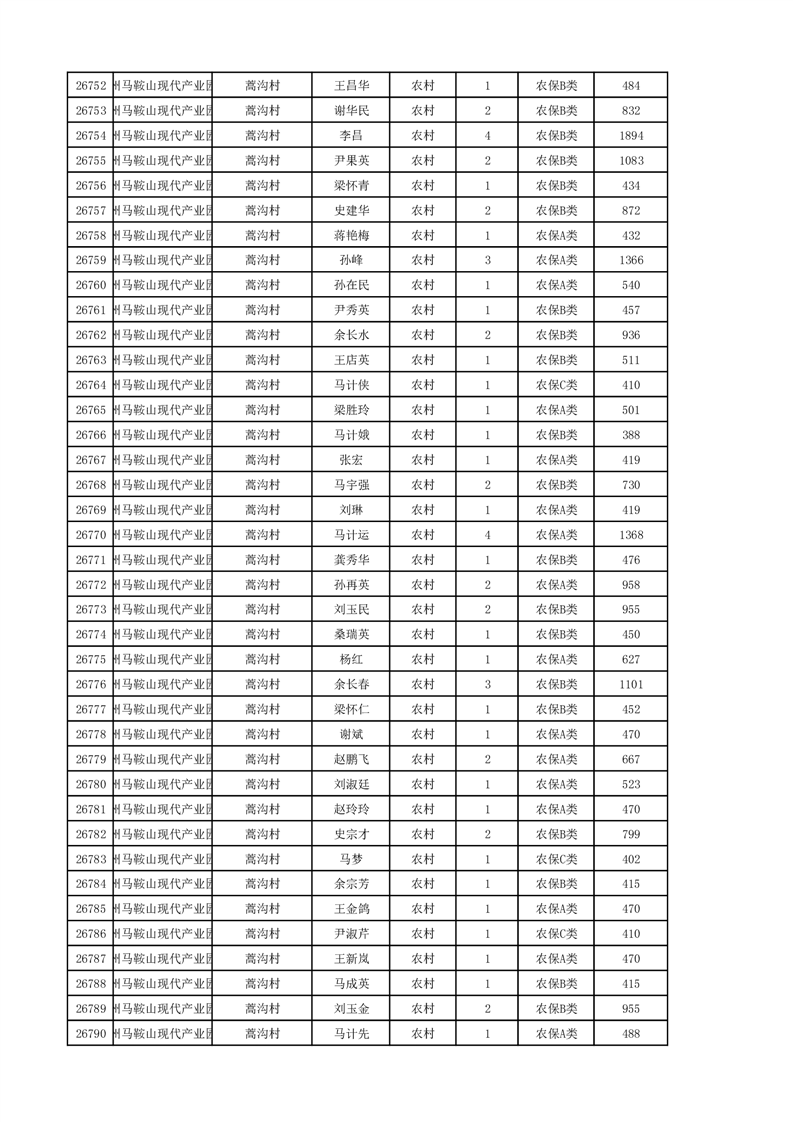
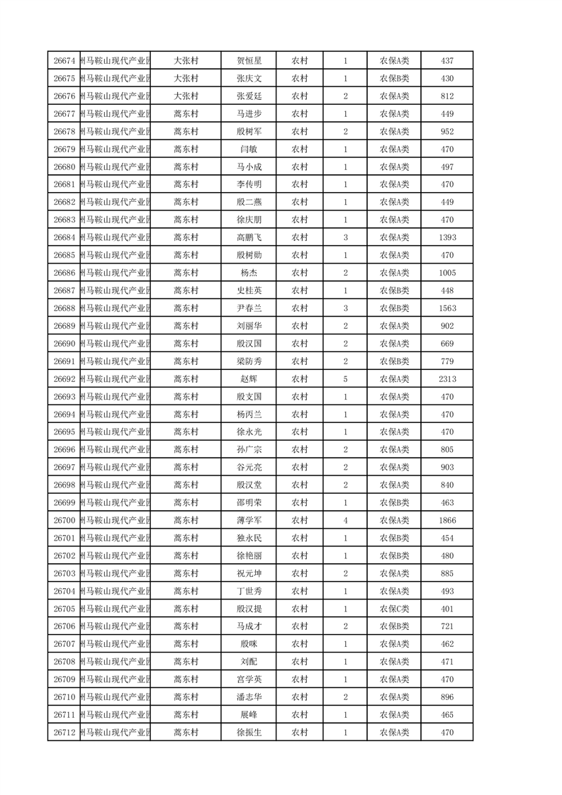
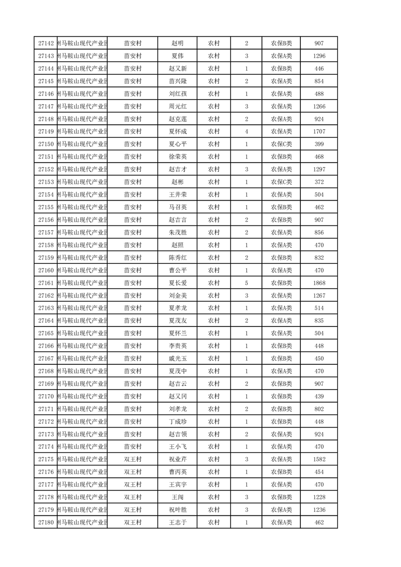
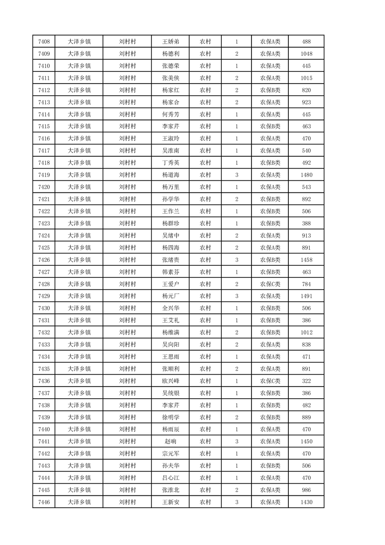
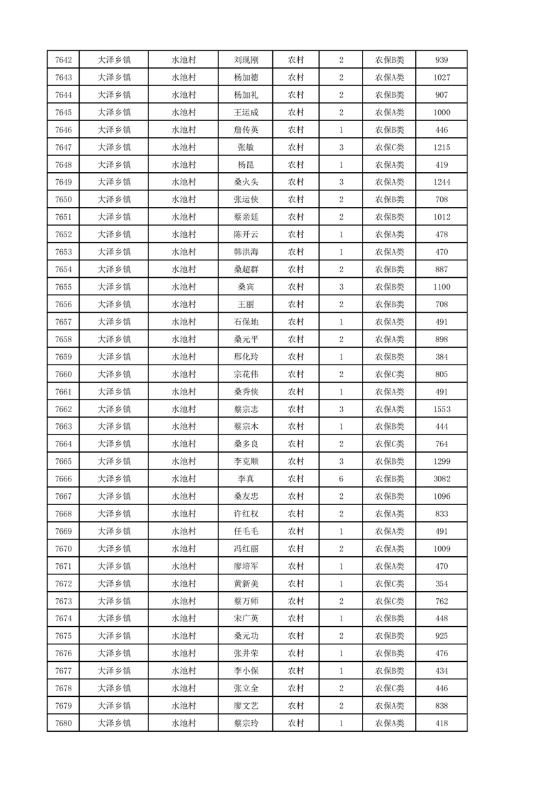
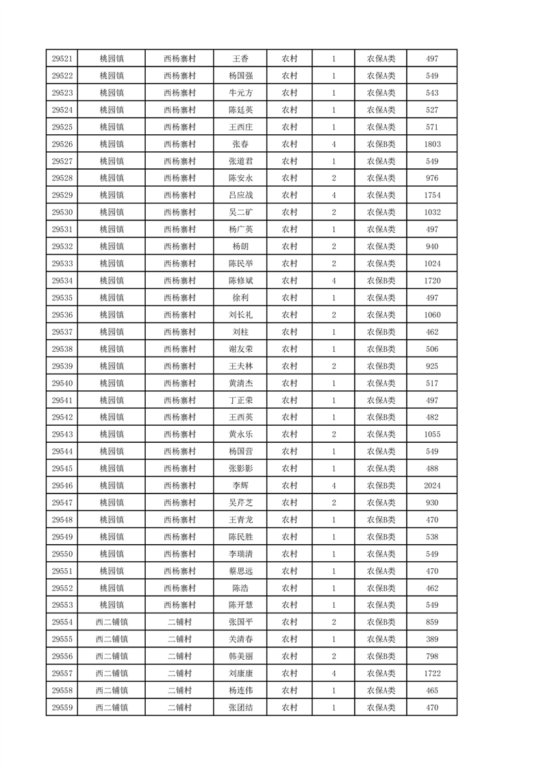
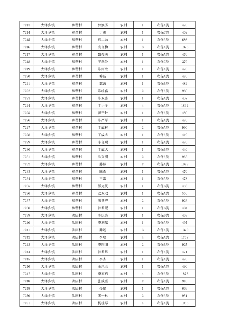
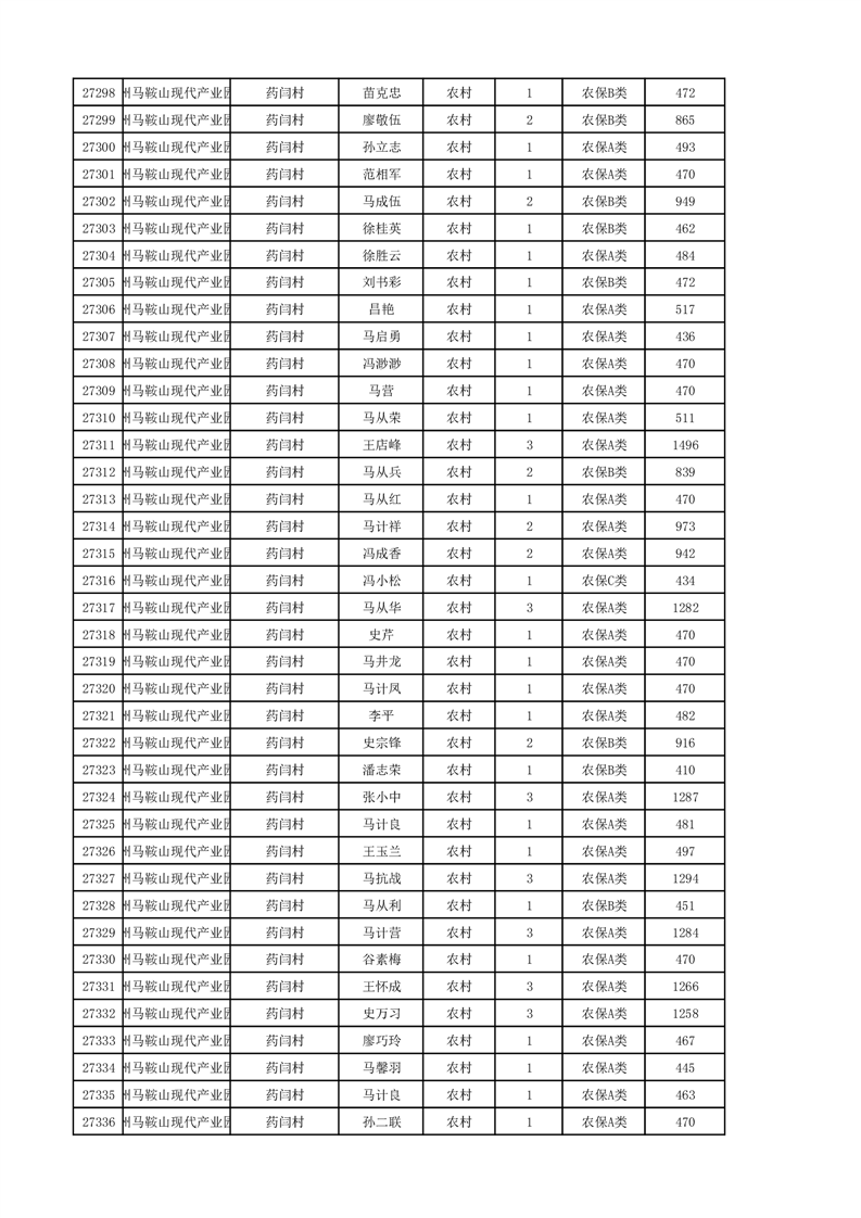
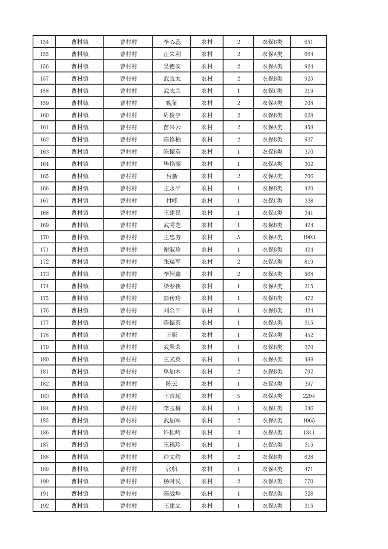
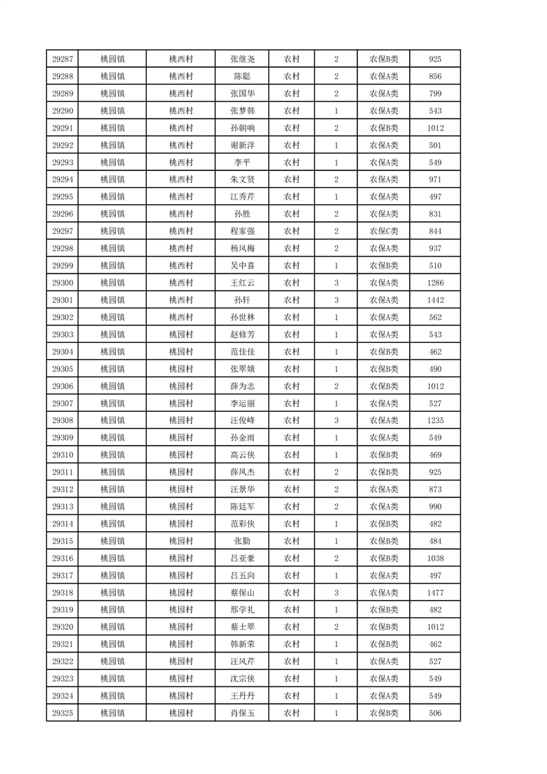
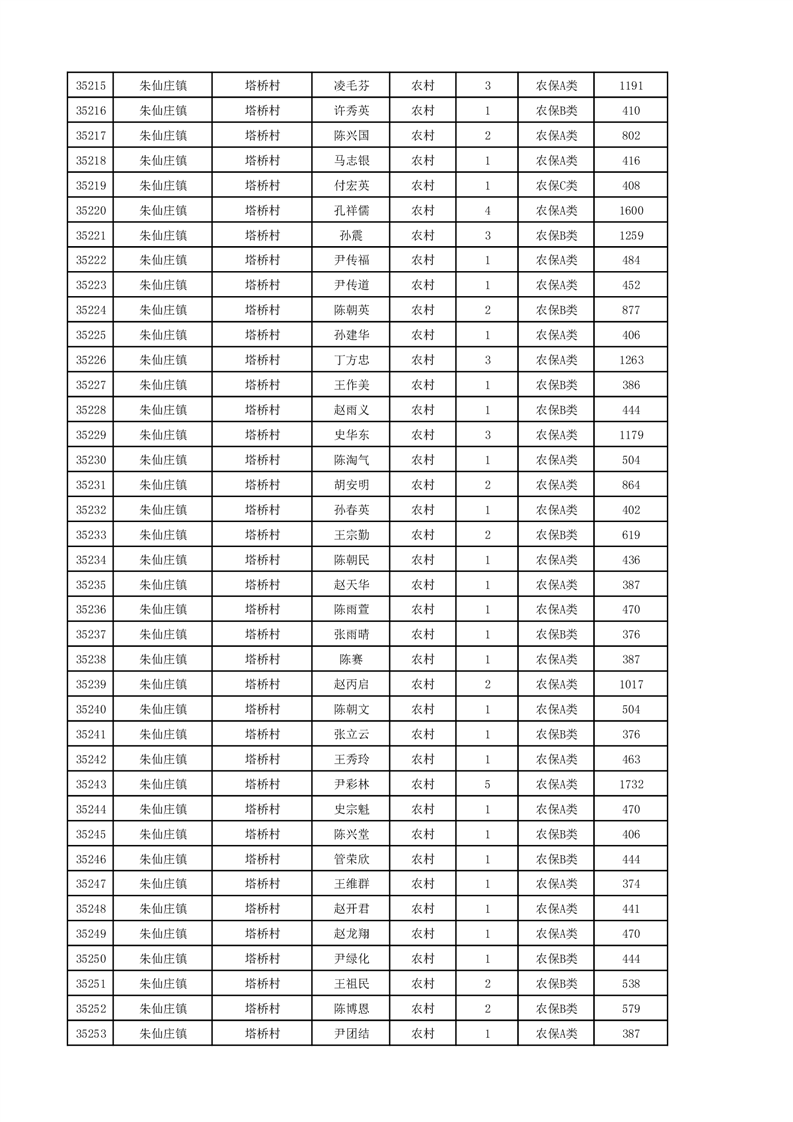
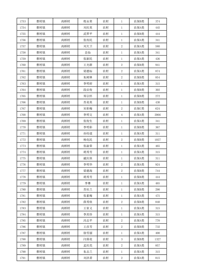
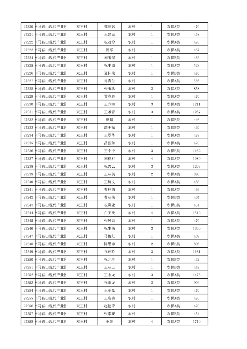
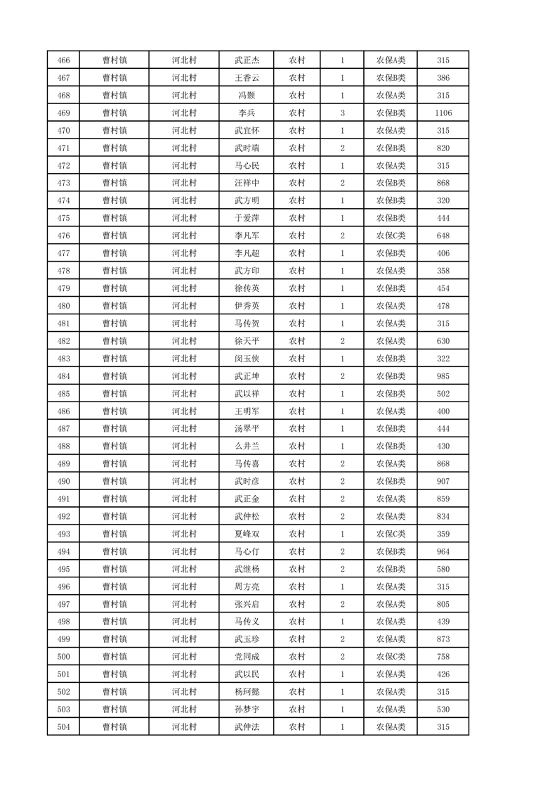
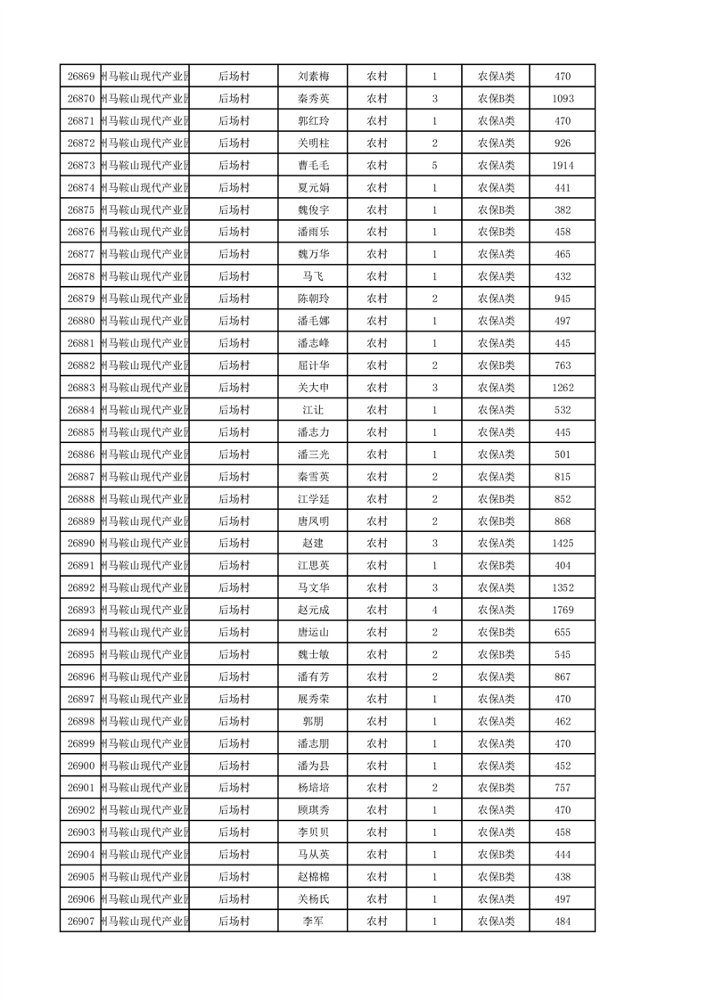
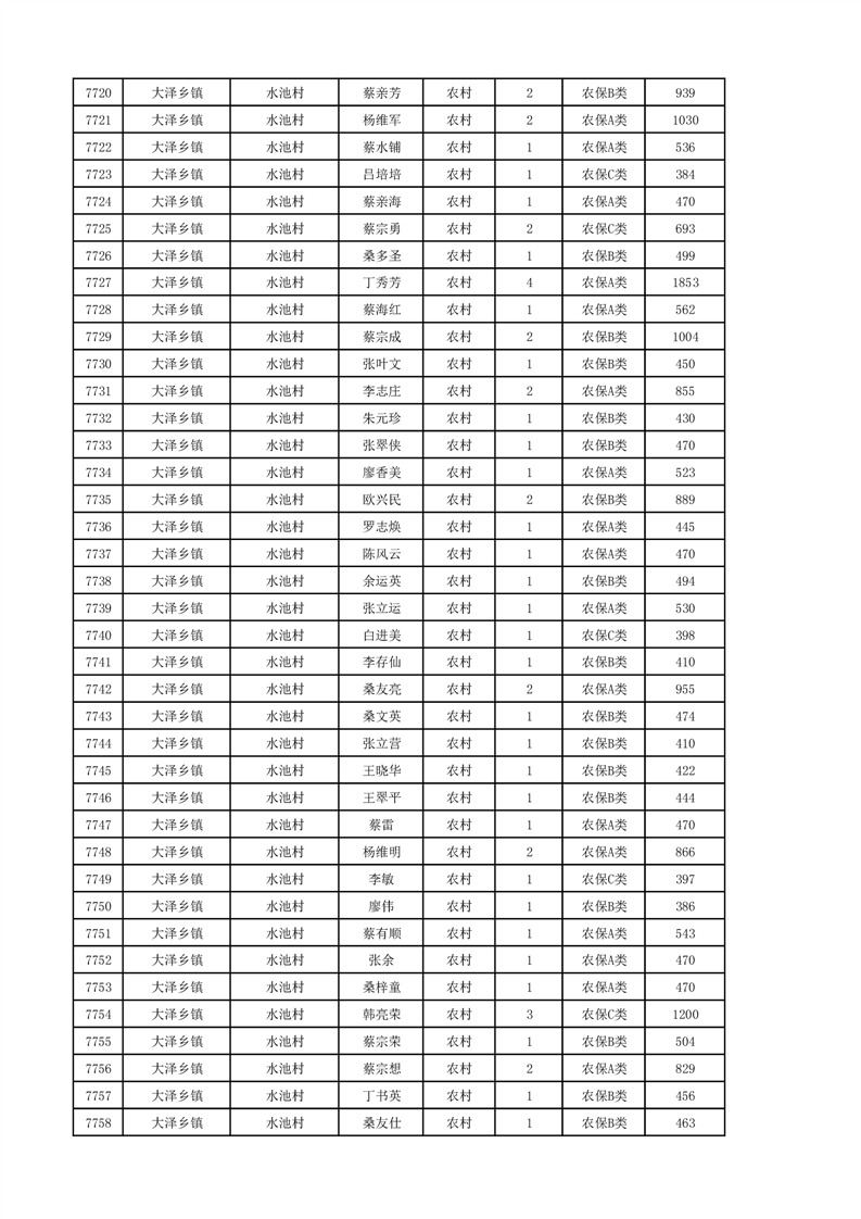
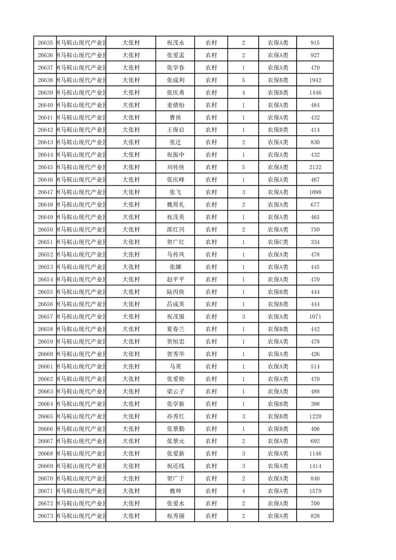
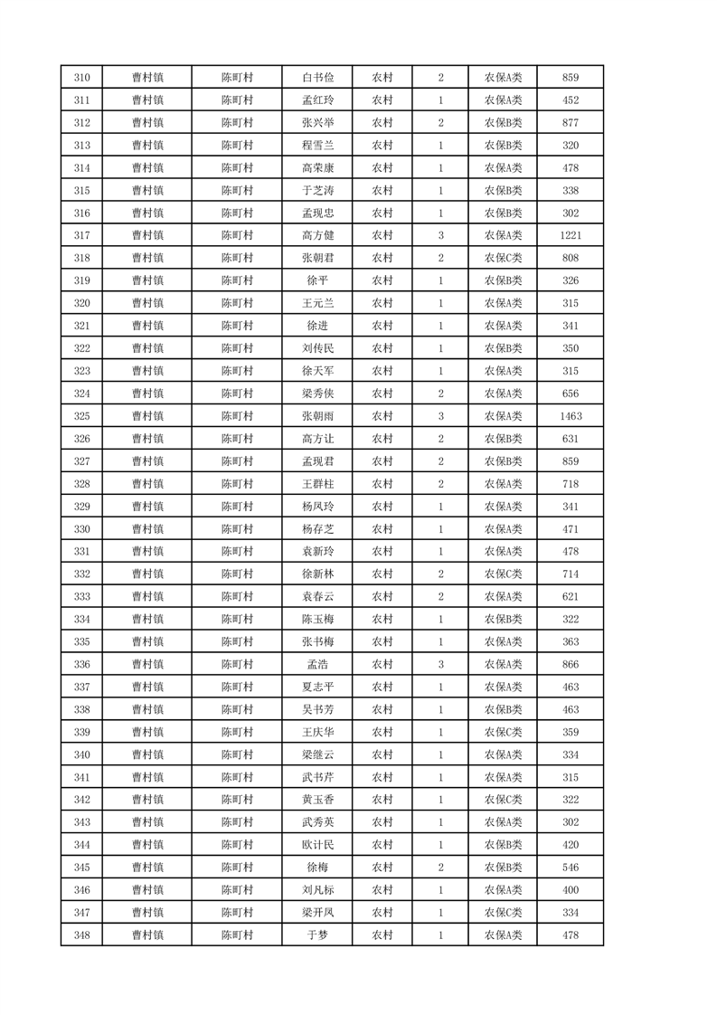
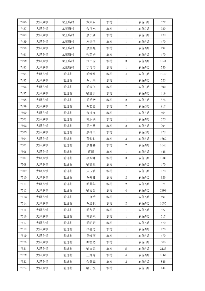
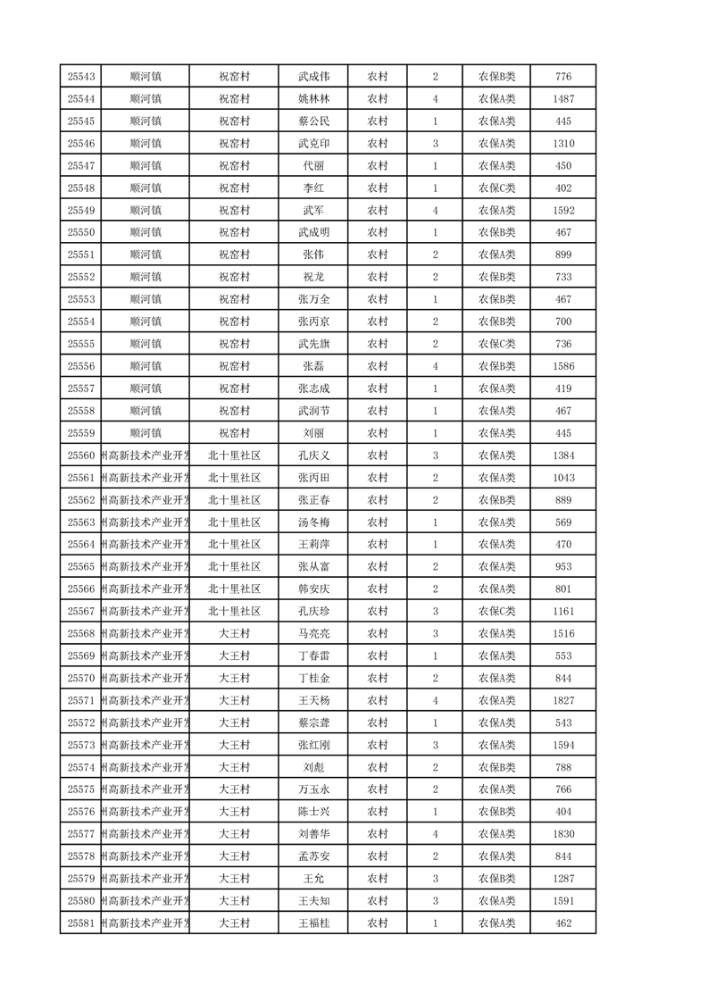
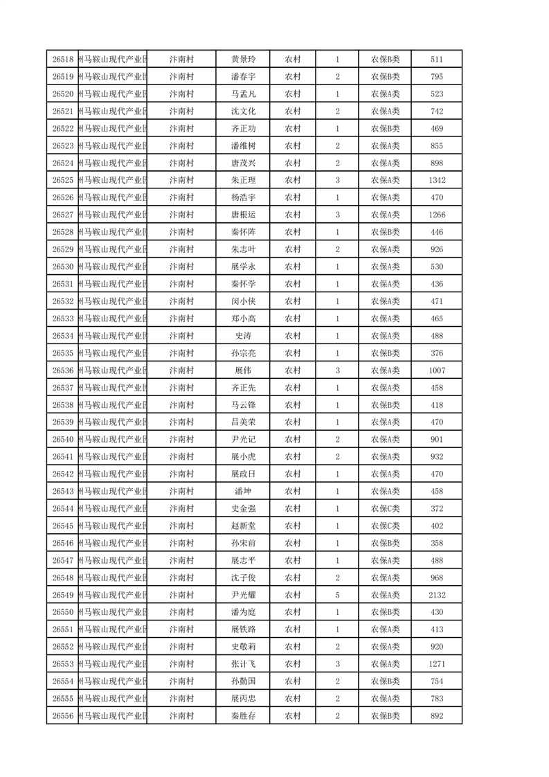
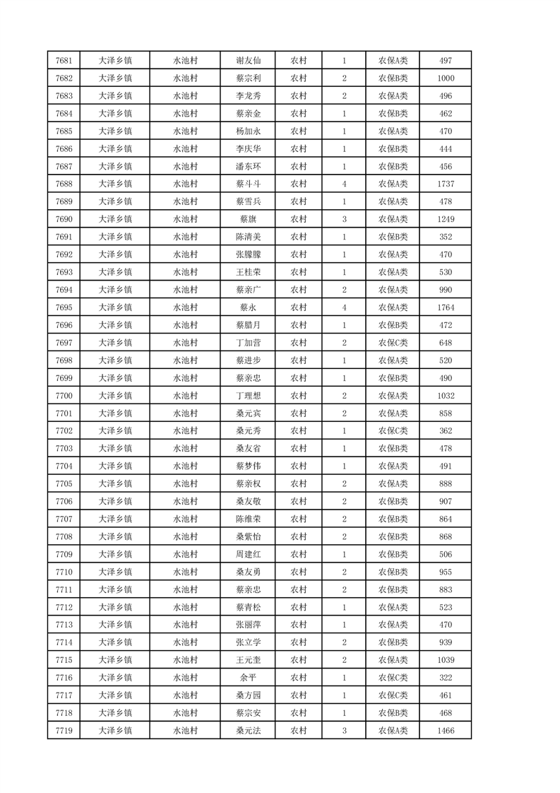
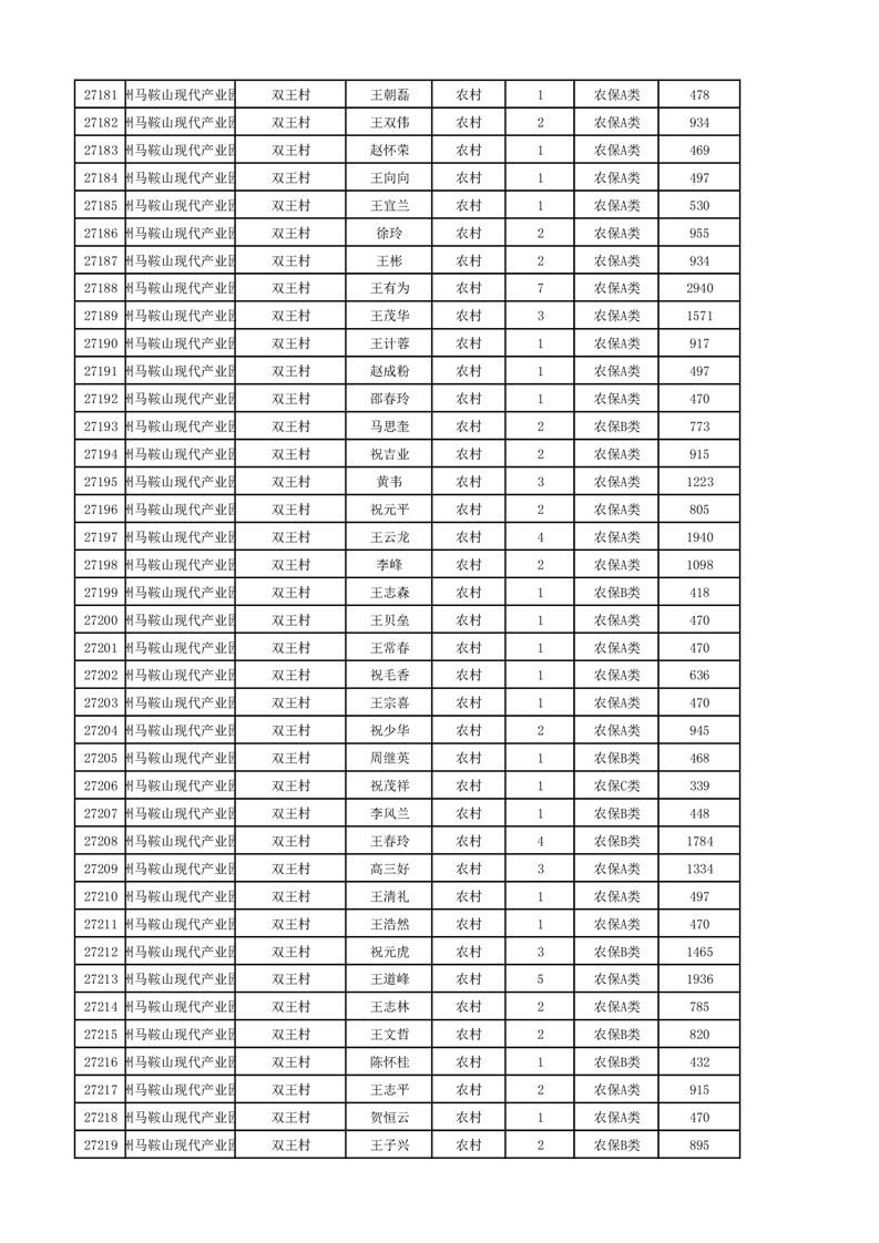
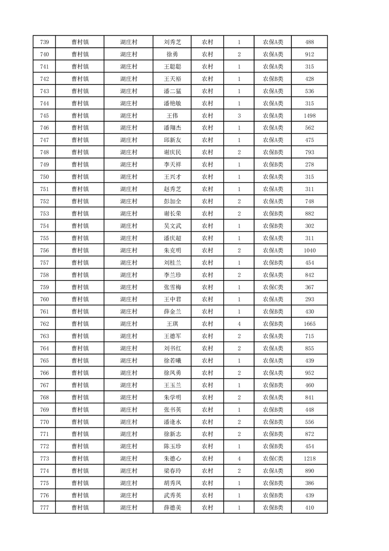
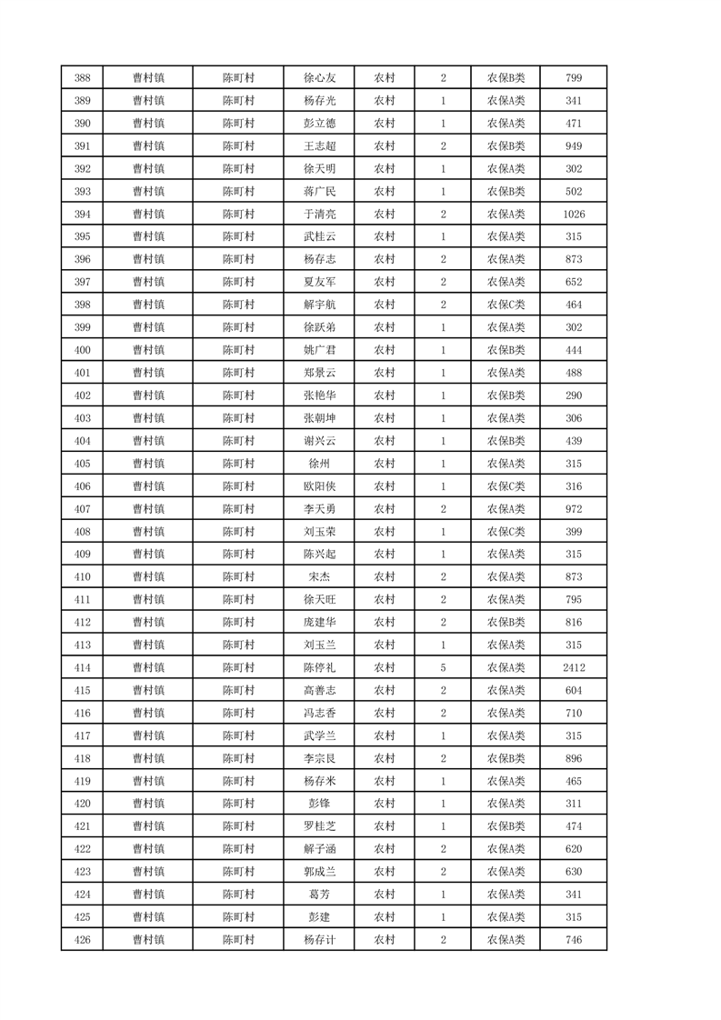
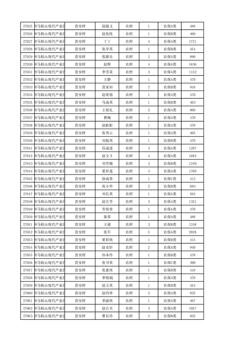
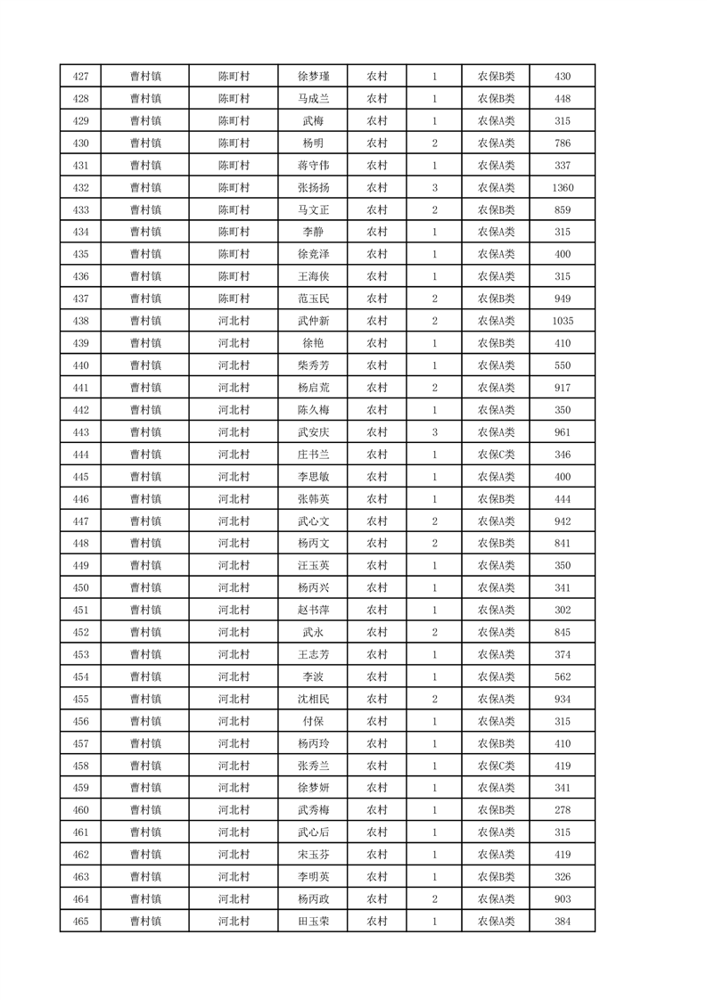
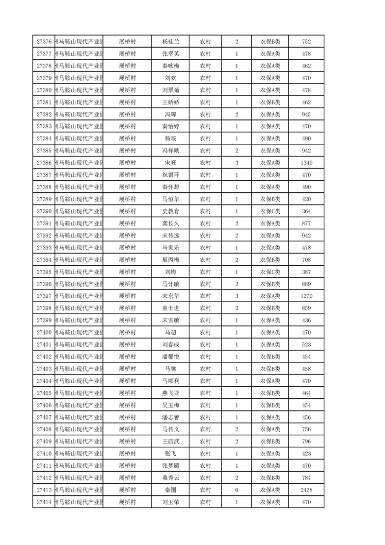
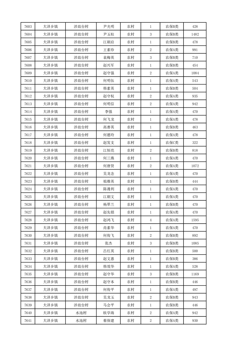
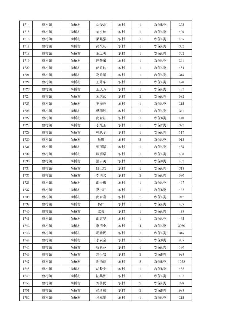
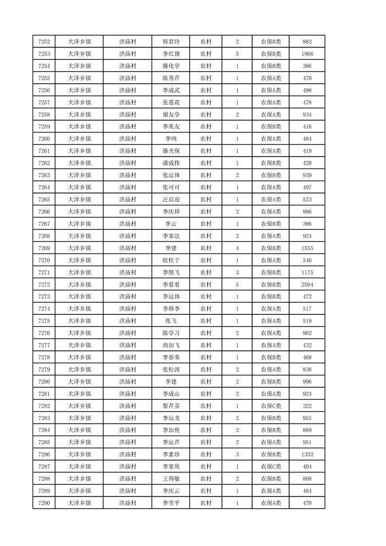
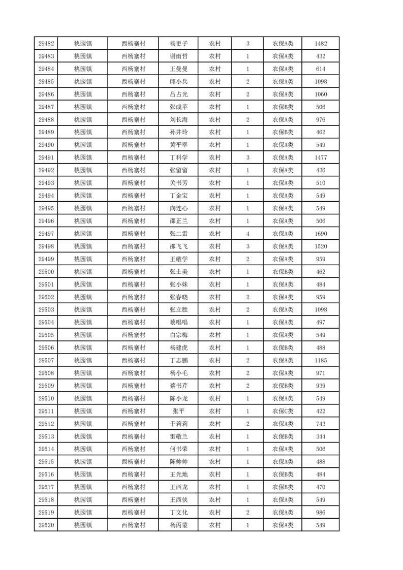
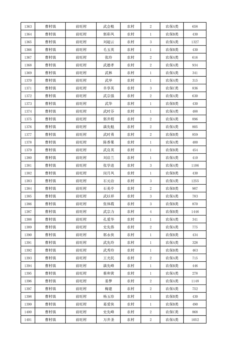
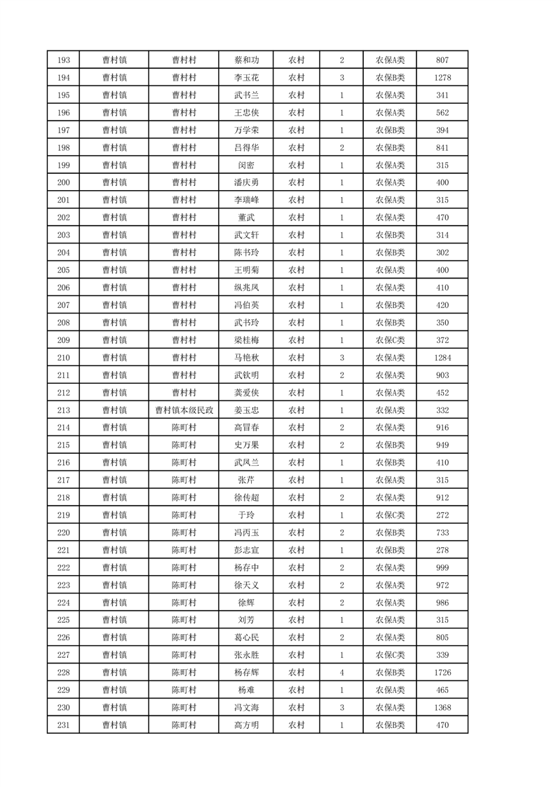
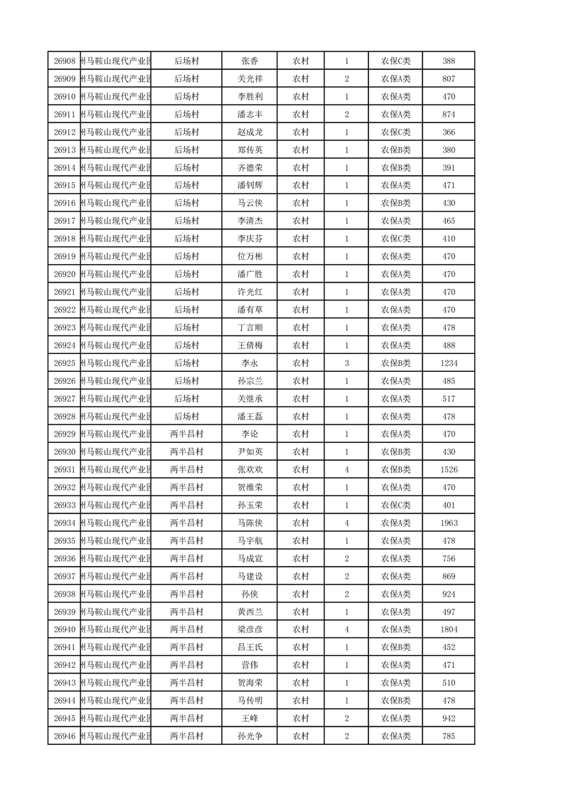
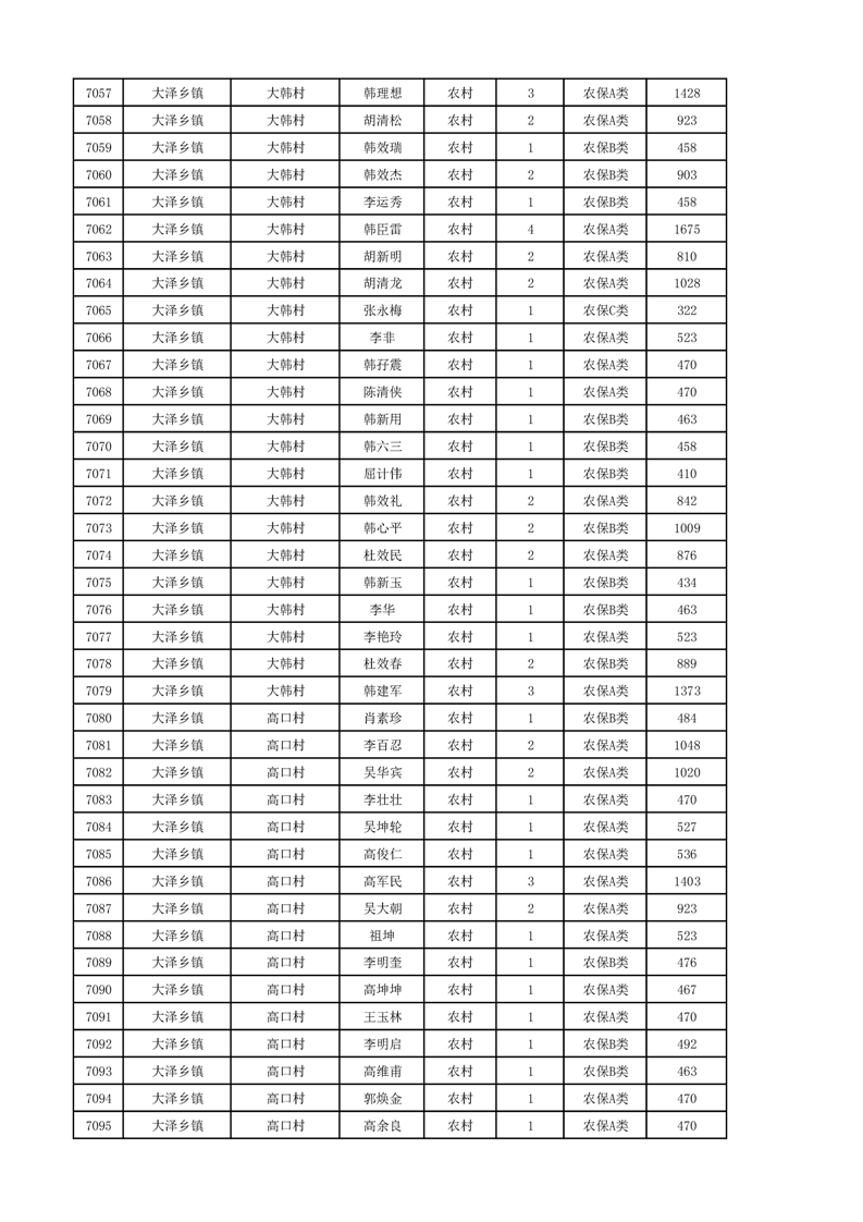
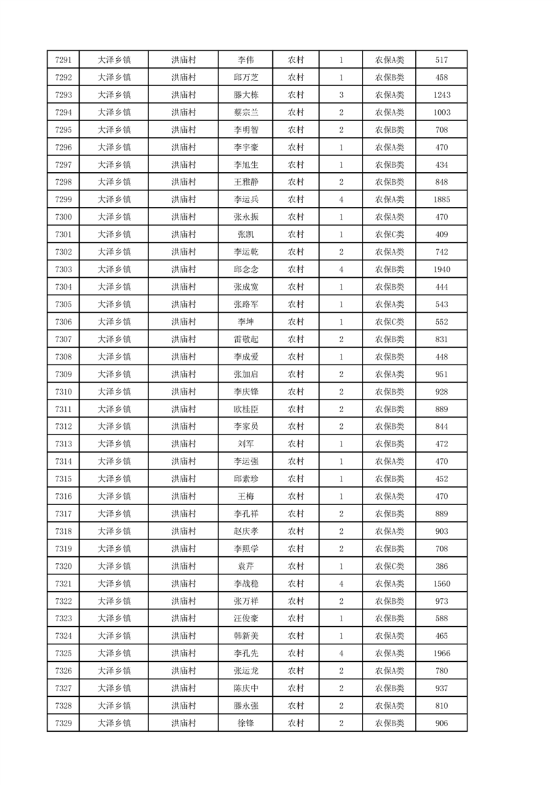
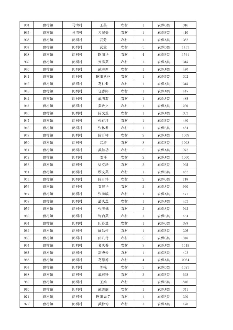
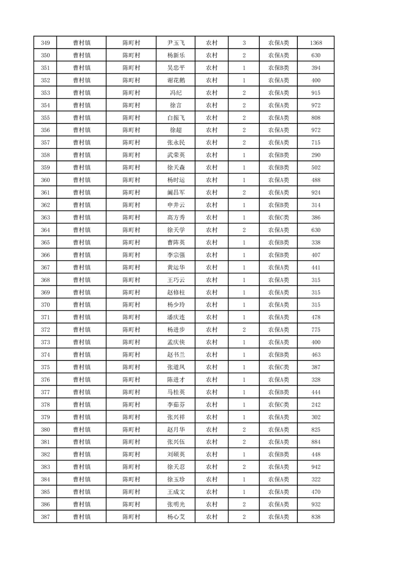
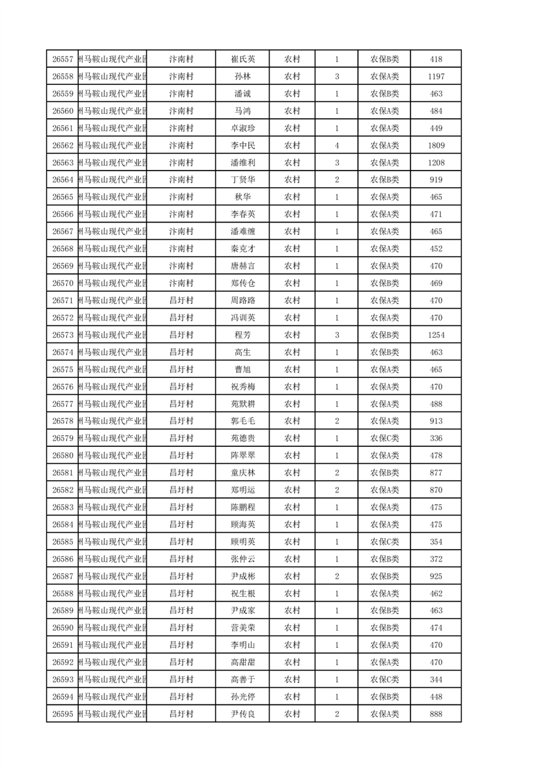
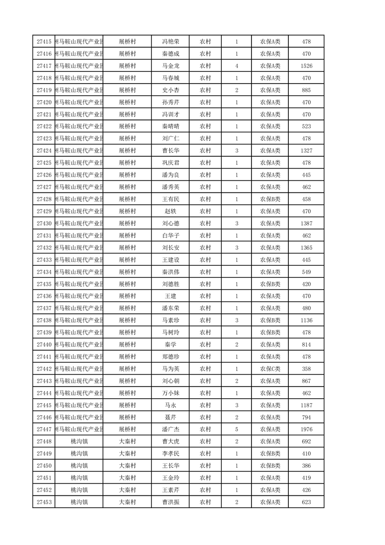
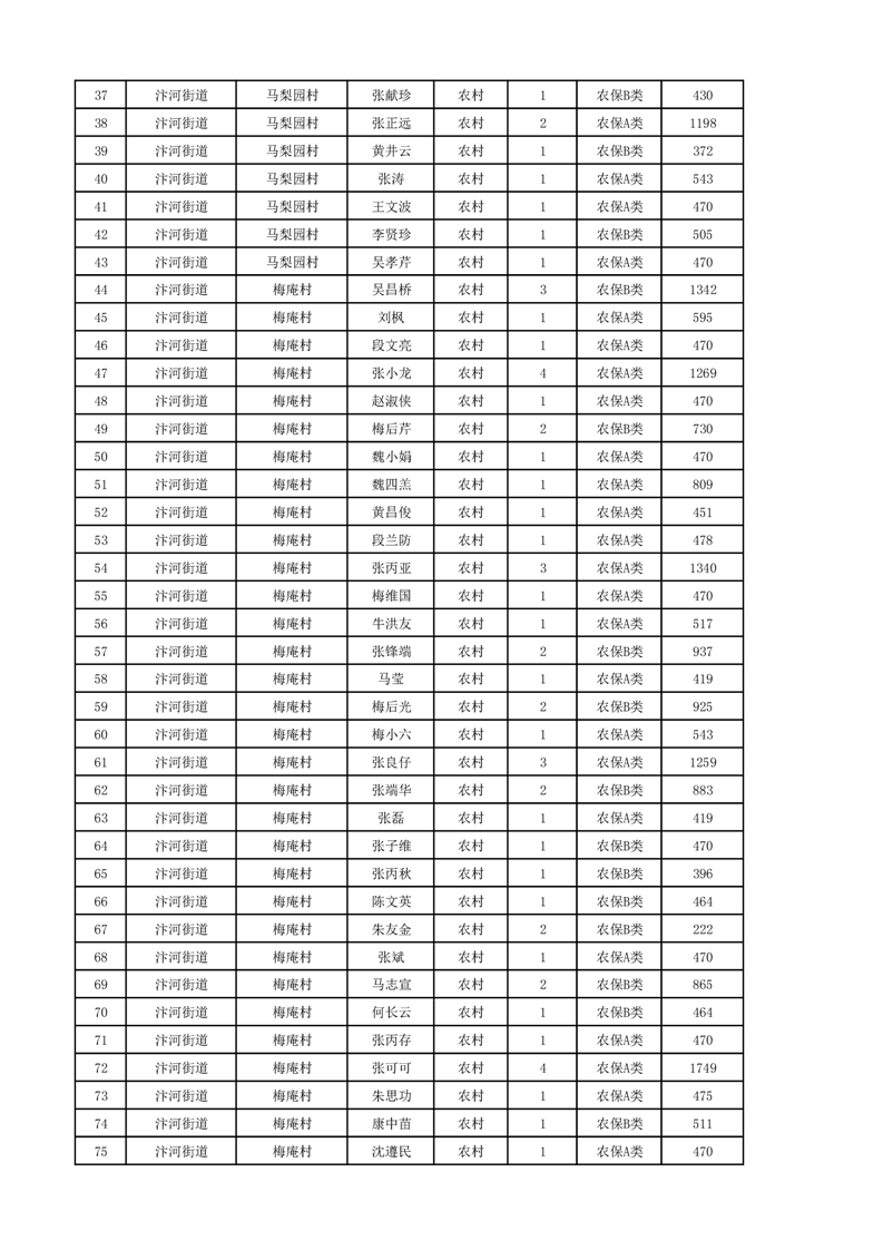
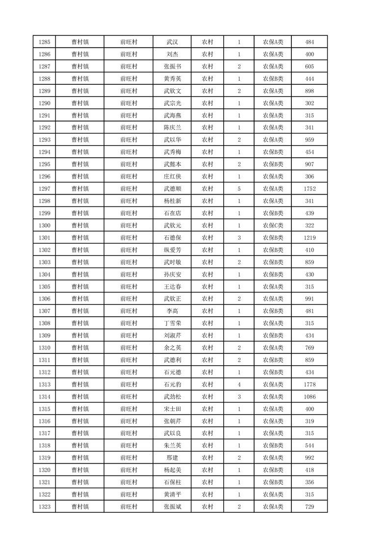
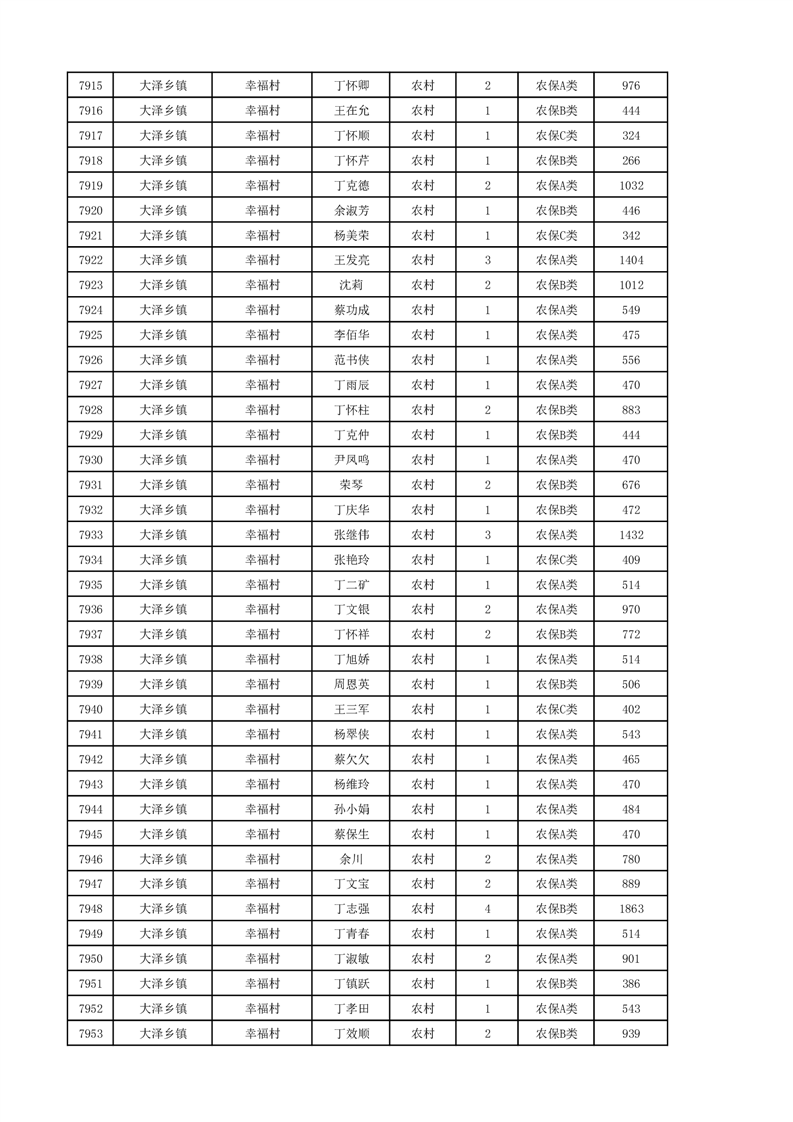
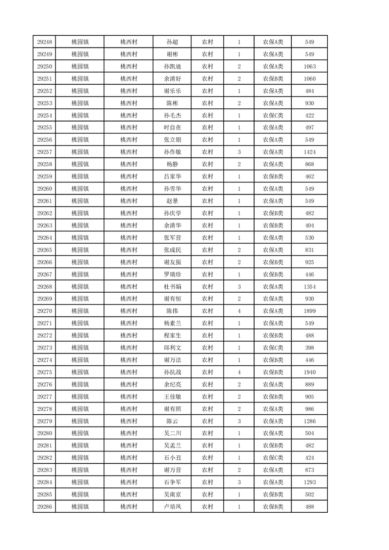
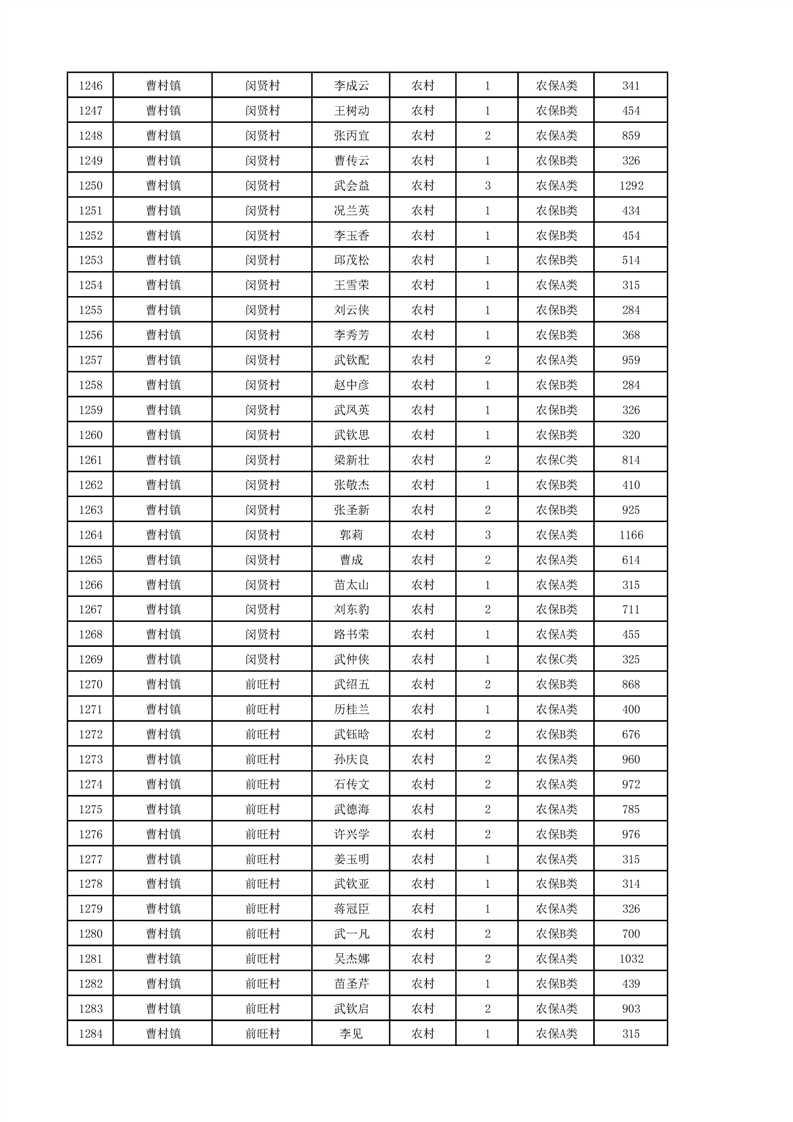
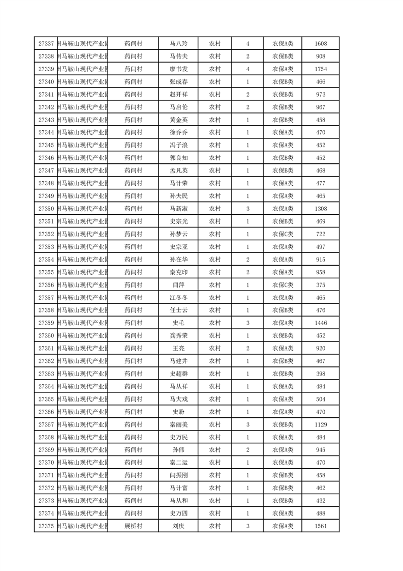
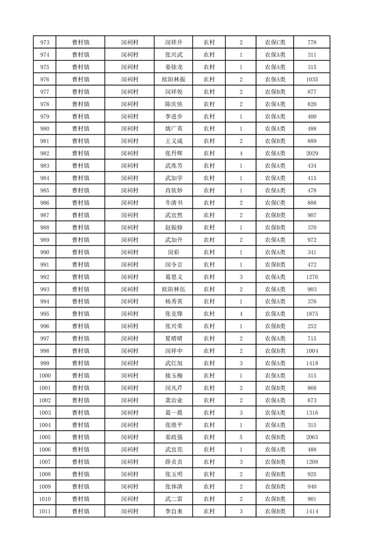
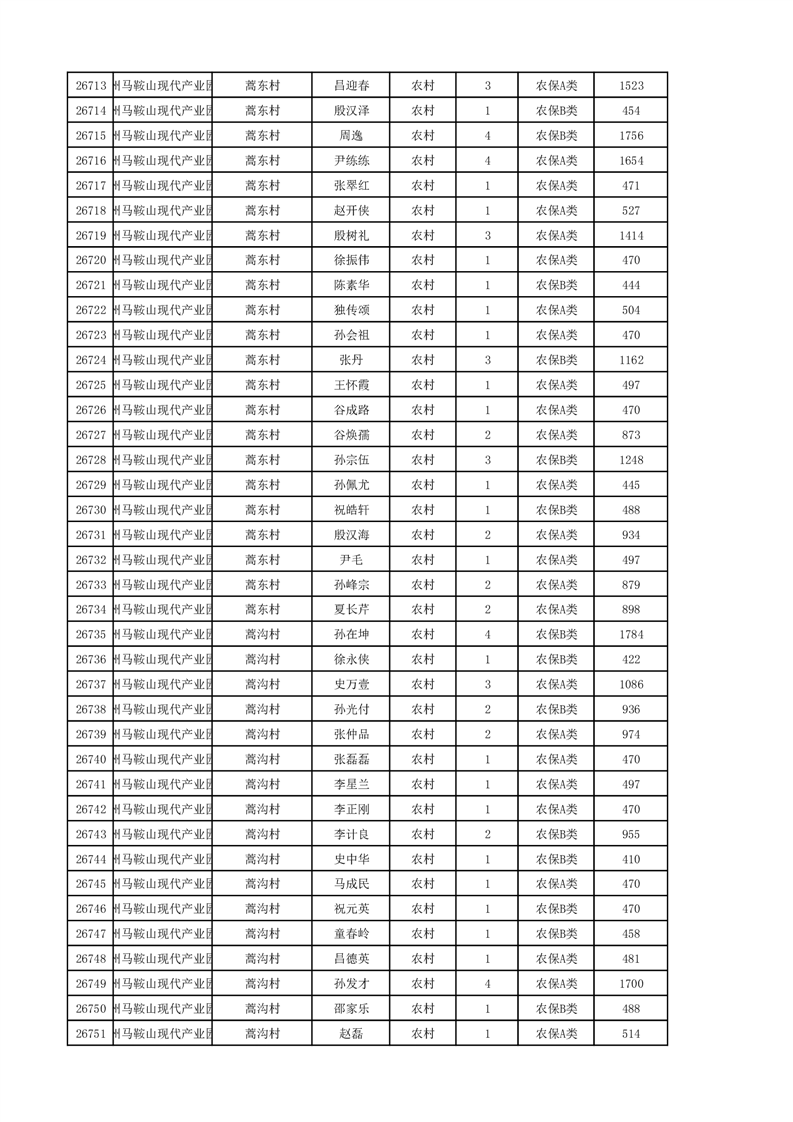
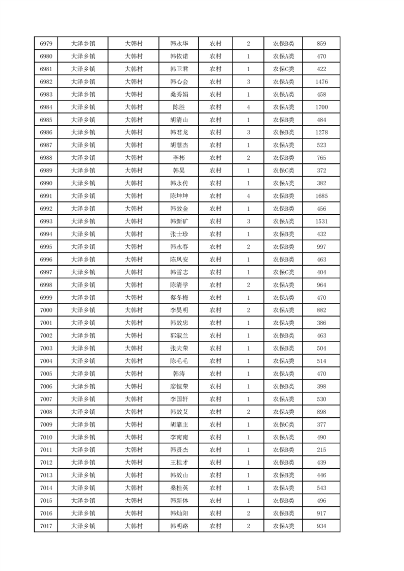
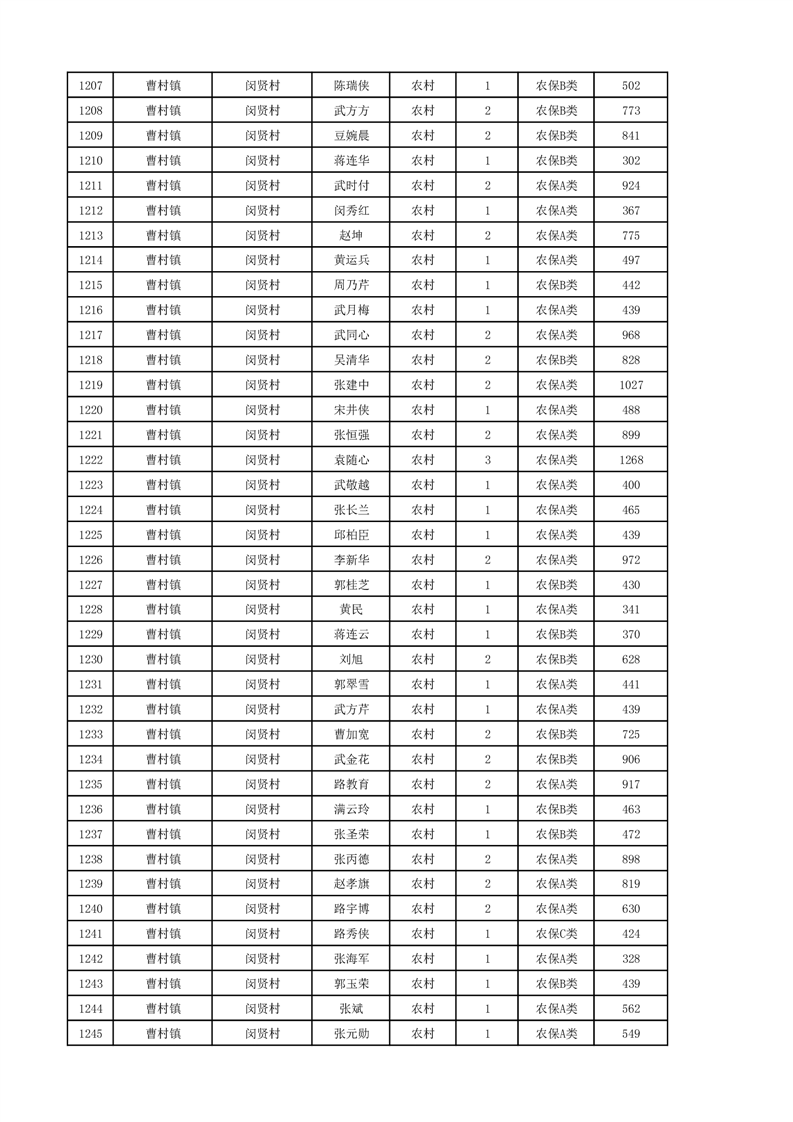
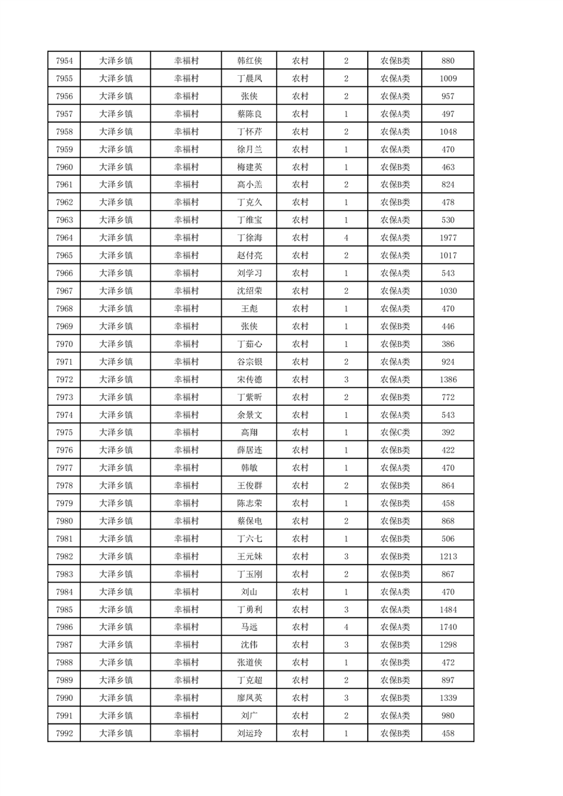
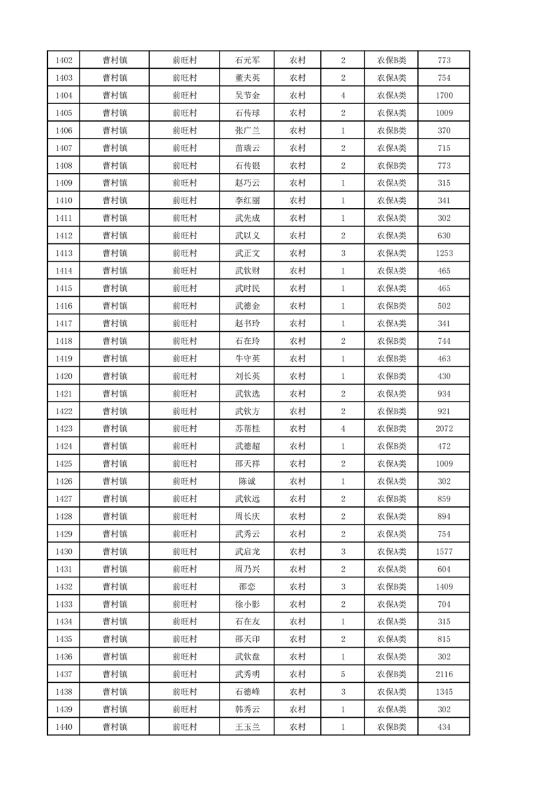
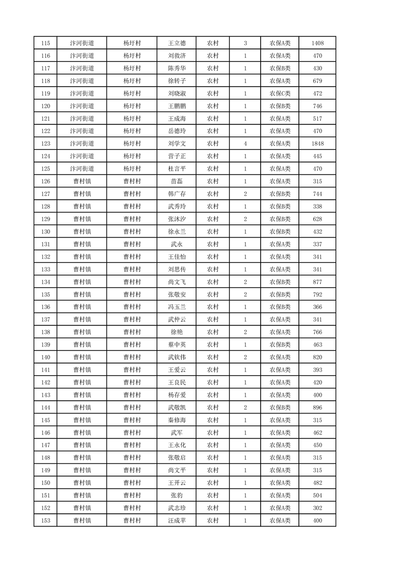
埇桥区2026年3月份农村低保花名册
关
键
词:
埇桥区2026年3月份农村低保花名册
文章来源: 宿州市埇桥区民政局
浏览量:
发表时间:2026-04-01 15:41
责任编辑: 埇桥民政局
字体大小:
【
大
中
小
】