| 索引号: | MB1004839/202511-00001 | 信息分类: | 主动回应 |
|---|---|---|---|
| 内容分类: | 其他,残疾人工作,个人,企业 | 发布机构: | 宿州市埇桥区残疾人联合会 |
| 成文日期: | 2025-11-18 | 发布时间: | 2025-11-18 08:18 |
| 文号: | 非正式文件,无文号 | 有效性: | 有效 |
| 废止时间: | 暂无 | 关键词: | |
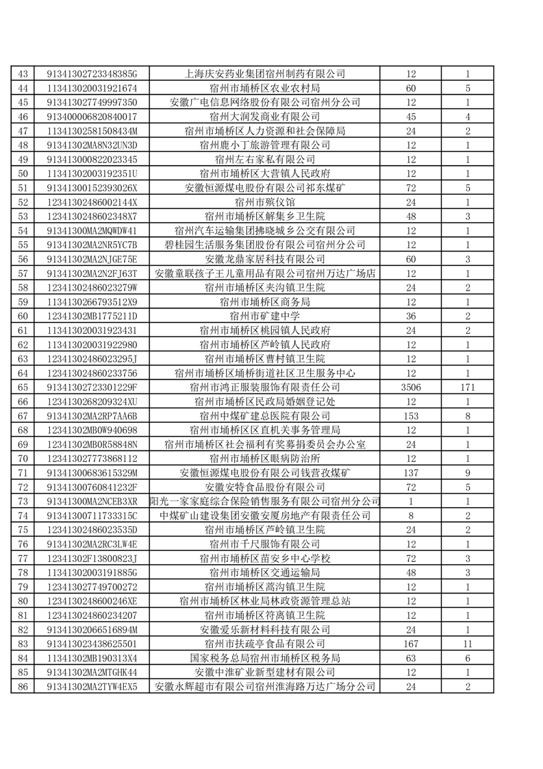
| 名称: | 【残疾人就业】埇桥区2025年度用人单位按比例安排残疾人就业情况公示名单 | ||
| 审核人: | 初审:孔雅勤     复审:张迎娣    终审: 朱玉洁 | ||



